Suppr超能文献

精选三萜类皂苷作为潜在治疗剂的综述

Saponins of Selected Triterpenoids as Potential Therapeutic Agents: A Review.

作者信息

Bildziukevich Uladzimir, Wimmerová Martina, Wimmer Zdeněk

机构信息

Isotope Laboratory, Institute of Experimental Botany AS CR, Vídeňská 1083, 14220 Prague 4, Czech Republic.

Department of Chemistry of Natural Compounds, University of Chemistry and Technology in Prague, Technická 5, 16628 Prague 6, Czech Republic.

出版信息

Pharmaceuticals (Basel). 2023 Mar 2;16(3):386. doi: 10.3390/ph16030386.

Abstract

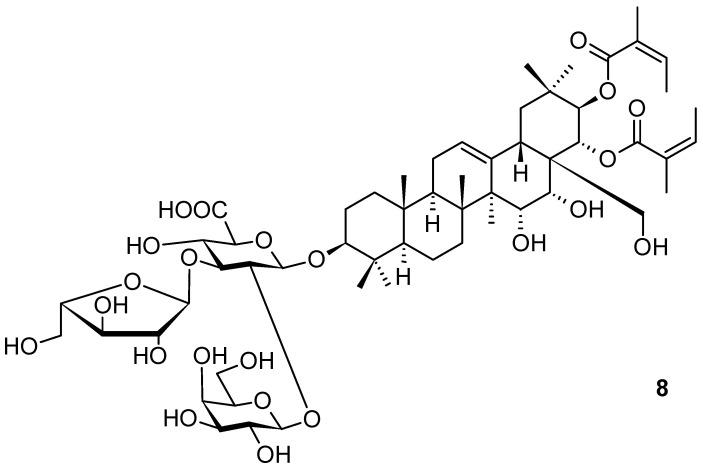
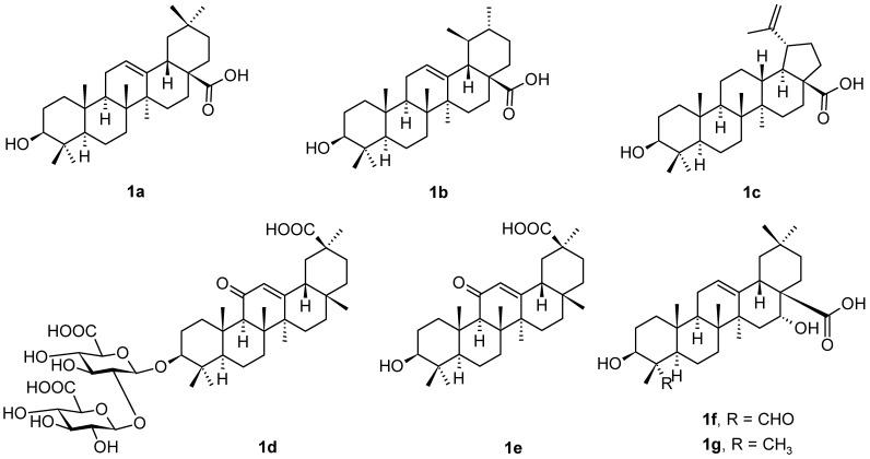
Saponins represent important natural derivatives of plant triterpenoids that are secondary plant metabolites. Saponins, also named glycoconjugates, are available both as natural and synthetic products. This review is focused on saponins of the oleanane, ursane, and lupane types of triterpenoids that include several plant triterpenoids displaying various important pharmacological effects. Additional convenient structural modifications of naturally-occurring plant products often result in enhancing the pharmacological effects of the parent natural structures. This is an important objective for all semisynthetic modifications of the reviewed plant products, and it is included in this review paper as well. The period covered by this review (2019-2022) is relatively short, mainly due to the existence of previously published review papers in recent years.

摘要

皂苷是植物三萜类化合物的重要天然衍生物,属于植物次生代谢产物。皂苷,也被称为糖缀合物,既有天然产物,也有合成产物。本综述聚焦于齐墩果烷型、乌苏烷型和羽扇豆烷型三萜类化合物的皂苷,其中包括几种具有多种重要药理作用的植物三萜类化合物。对天然植物产物进行额外的便捷结构修饰通常会增强母体天然结构的药理作用。这是所有被综述植物产品半合成修饰的一个重要目标,本综述论文也涵盖了这一点。本综述涵盖的时间段(2019 - 2022年)相对较短,主要是因为近年来已有先前发表的综述论文。

https://cdn.ncbi.nlm.nih.gov/pmc/blobs/c29d/10055990/b5a4c276b07b/pharmaceuticals-16-00386-g001.jpg

文献AI研究员

20分钟写一篇综述,助力文献阅读效率提升50倍。

立即体验

用中文搜PubMed

大模型驱动的PubMed中文搜索引擎

马上搜索

文档翻译

学术文献翻译模型,支持多种主流文档格式。

立即体验