Suppr超能文献

在实证或模拟研究中,通过排除极端报告者并不能消除营养-健康关联中的偏倚。

Bias in nutrition-health associations is not eliminated by excluding extreme reporters in empirical or simulation studies.

机构信息

School of Human Evolution and Social Change, Arizona State University, Tempe, United States.

Department of Epidemiology and Biostatistics, Indiana University School of Public Health-Bloomington, Bloomington, United States.

出版信息

Elife. 2023 Apr 5;12:e83616. doi: 10.7554/eLife.83616.

Abstract

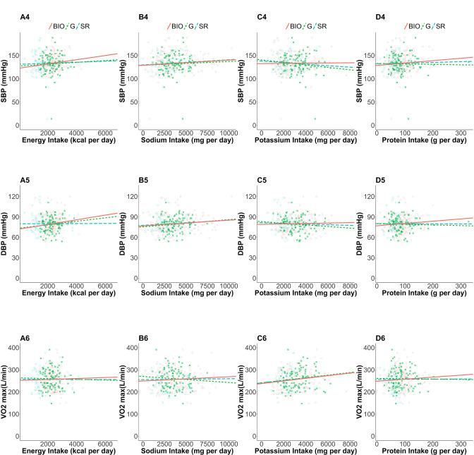
Self-reported nutrition intake (NI) data are prone to reporting bias that may induce bias in estimands in nutrition studies; however, they are used anyway due to high feasibility. We examined whether applying Goldberg cutoffs to remove 'implausible' self-reported NI could reliably reduce bias compared to biomarkers for energy, sodium, potassium, and protein. Using the Interactive Diet and Activity Tracking in the American Association of Retired Persons (IDATA) data, significant bias in mean NI was removed with Goldberg cutoffs (120 among 303 participants excluded). Associations between NI and health outcomes (weight, waist circumference, heart rate, systolic/diastolic blood pressure, and VO2 max) were estimated, but sample size was insufficient to evaluate bias reductions. We therefore simulated data based on IDATA. Significant bias in simulated associations using self-reported NI was reduced but not completely eliminated by Goldberg cutoffs in 14 of 24 nutrition-outcome pairs; bias was not reduced for the remaining 10 cases. Also, 95% coverage probabilities were improved by applying Goldberg cutoffs in most cases but underperformed compared with biomarker data. Although Goldberg cutoffs may achieve bias elimination in estimating mean NI, bias in estimates of associations between NI and outcomes will not necessarily be reduced or eliminated after application of Goldberg cutoffs. Whether one uses Goldberg cutoffs should therefore be decided based on research purposes and not general rules.

摘要

自我报告的营养摄入量 (NI) 数据容易受到报告偏差的影响,这种偏差可能会导致营养研究中的估计值产生偏差;然而,由于可行性高,它们仍然被使用。我们研究了应用 Goldberg 截断值来去除“不合理”的自我报告的 NI 是否可以比能量、钠、钾和蛋白质的生物标志物更可靠地减少偏差。使用美国退休人员协会的交互式饮食和活动跟踪 (IDATA) 数据,通过 Goldberg 截断值(排除了 303 名参与者中的 120 名)显著减少了平均 NI 的偏差。NI 与健康结果(体重、腰围、心率、收缩压/舒张压和 VO2max)之间的关联进行了估计,但样本量不足以评估偏差减少。因此,我们根据 IDATA 模拟了数据。在 24 对营养结果对中的 14 对中,通过 Goldberg 截断值可以减少使用自我报告的 NI 的模拟关联中的显著偏差,但并非完全消除;对于其余 10 个案例,则没有减少偏差。此外,在大多数情况下,应用 Goldberg 截断值可以提高 95%的覆盖率概率,但表现不如生物标志物数据。尽管 Goldberg 截断值可能在估计平均 NI 时实现偏差消除,但在应用 Goldberg 截断值后,NI 与结果之间关联的估计偏差不一定会减少或消除。因此,是否应用 Goldberg 截断值应根据研究目的而不是一般规则来决定。

https://cdn.ncbi.nlm.nih.gov/pmc/blobs/39da/10076015/ab887ba154ff/elife-83616-fig1.jpg

文献AI研究员

20分钟写一篇综述,助力文献阅读效率提升50倍。

立即体验

用中文搜PubMed

大模型驱动的PubMed中文搜索引擎

马上搜索

文档翻译

学术文献翻译模型,支持多种主流文档格式。

立即体验