Suppr超能文献

用于在倾向得分估计中纳入聚类水平协变量的随机效应建模逻辑回归:蒙特卡罗模拟和登记队列分析。

Random effects modelling logistic regression for the inclusion of cluster-level covariates in propensity score estimation: A Monte Carlo simulation and registry cohort analysis.

作者信息

Du Mike, Prats-Uribe Albert, Khalid Sara, Prieto-Alhambra Daniel, Strauss Victoria Y

机构信息

Botnar Research Centre, Nuffield Orthopaedic Centre, Nuffield Department of Orthopaedics, Rheumatology, and Musculoskeletal Sciences, University of Oxford, Oxford, United Kingdom.

Boehringer-Ingelheim Pharma GmbH & Co., KG, Ingelheim, Germany.

出版信息

Front Pharmacol. 2023 Mar 23;14:988605. doi: 10.3389/fphar.2023.988605. eCollection 2023.

Abstract

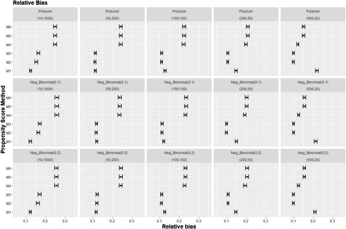
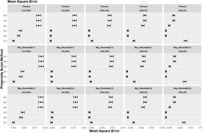
Surgeon and hospital-related features, such as volume, can be associated with treatment choices and outcomes. Accounting for these covariates with propensity score (PS) analysis can be challenging due to the clustered nature of the data. We studied six different PS estimation strategies for clustered data using random effects modelling (REM) compared with logistic regression. Monte Carlo simulations were used to generate variable cluster-level confounding intensity [odds ratio (OR) = 1.01-2.5] and cluster size (20-1,000 patients per cluster). The following PS estimation strategies were compared: i) logistic regression omitting cluster-level confounders; ii) logistic regression including cluster-level confounders; iii) the same as ii) but including cross-level interactions; iv), v), and vi), similar to i), ii), and iii), respectively, but using REM instead of logistic regression. The same strategies were tested in a trial emulation of partial total knee replacement (TKR) surgery, where observational trial-based estimates were compared as a proxy for bias. Performance metrics included bias and mean square error (MSE). In most simulated scenarios, logistic regression, including cluster-level confounders, led to the lowest bias and MSE, for example, with 50 clusters × 200 individuals and confounding intensity OR = 1.5, a relative bias of 10%, and MSE of 0.003 for (i) compared to 32% and 0.010 for (iv). The results from the trial emulation also gave similar trends. Logistic regression, including patient and surgeon-/hospital-level confounders, appears to be the preferred strategy for PS estimation.

摘要

外科医生和医院相关特征,如手术量,可能与治疗选择和结果相关。由于数据的聚类性质,使用倾向得分(PS)分析来考虑这些协变量可能具有挑战性。我们使用随机效应模型(REM)与逻辑回归相比,研究了六种针对聚类数据的不同PS估计策略。蒙特卡罗模拟用于生成可变的聚类水平混杂强度[优势比(OR)= 1.01 - 2.5]和聚类大小(每个聚类20 - 1000名患者)。比较了以下PS估计策略:i)省略聚类水平混杂因素的逻辑回归;ii)包括聚类水平混杂因素的逻辑回归;iii)与ii)相同但包括跨水平交互作用;iv)、v)和vi)分别类似于i)、ii)和iii),但使用REM代替逻辑回归。在全膝关节置换(TKR)手术部分模拟试验中测试了相同的策略,其中将基于观察性试验的估计值作为偏差的代理进行比较。性能指标包括偏差和均方误差(MSE)。在大多数模拟场景中,包括聚类水平混杂因素的逻辑回归导致最低的偏差和MSE,例如,对于50个聚类×200名个体且混杂强度OR = 1.5的情况,(i)的相对偏差为10%,MSE为0.003,而(iv)的相对偏差为32%,MSE为0.010。模拟试验的结果也给出了类似的趋势。包括患者以及外科医生/医院水平混杂因素的逻辑回归似乎是PS估计的首选策略。

https://cdn.ncbi.nlm.nih.gov/pmc/blobs/8b56/10077146/381c7b581729/fphar-14-988605-g001.jpg

文献AI研究员

20分钟写一篇综述,助力文献阅读效率提升50倍。

立即体验

用中文搜PubMed

大模型驱动的PubMed中文搜索引擎

马上搜索

文档翻译

学术文献翻译模型,支持多种主流文档格式。

立即体验