Suppr超能文献

L-抗坏血酸/HP-β-环糊精包合物复合电纺纳米纤维的制备、表征及抗氧化活性

Preparation, Characterization, and Antioxidant Activity of L-Ascorbic Acid/HP--Cyclodextrin Inclusion Complex-Incorporated Electrospun Nanofibers.

作者信息

Khan Nabab, Singh Amit Kumar, Saneja Ankit

机构信息

Formulation Laboratory, Dietetics and Nutrition Technology Division, CSIR-Institute of Himalayan Bioresource Technology, Palampur 176061, India.

Academy of Scientific and Innovative Research (AcSIR), Ghaziabad 201002, India.

出版信息

Foods. 2023 Mar 23;12(7):1363. doi: 10.3390/foods12071363.

Abstract

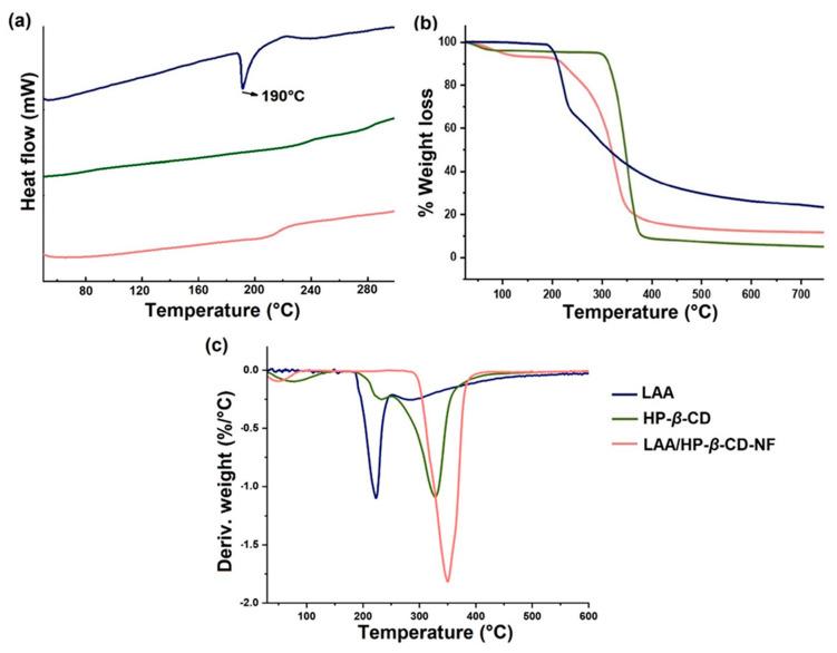
L-Ascorbic acid (LAA) is a key vitamin, implicated in a variety of physiological processes in humans. Due to its free radical scavenging activity, it is extensively employed as an excipient in pharmaceutical products and food supplements. However, its application is greatly impeded by poor thermal and aqueous stability. Herein, to improve the stability and inhibit oxidative degradation, we prepared LAA-cyclodextrin inclusion complex-incorporated nanofibers (NFs). The continuous variation method (Job plot) demonstrated that LAA forms inclusions with hydroxypropyl--cyclodextrin (HP--CD) at a 2:1 molar stoichiometric ratio. The NFs were prepared via the single step electrospinning technique, without using any polymer matrix. The solid-state characterizations of LAA/HP--CD-NF via powder x-ray diffractometry (PXRD), Fourier-transform infrared (FT-IR) analysis, differential scanning calorimetry (DSC), thermal gravimetric analysis (TGA), and nuclear magnetic resonance (H NMR and 2D-NOESY) spectroscopy, reveal the effective encapsulation of the LAA (guest molecule) inside the HP--CD (host) cavity. The SEM micrograph reveals an average fiber diameter of ~339 nm. The outcomes of the thermal investigations demonstrated that encapsulation of LAA within HP--CD cavities provides improved thermal stability of LAA (by increasing the thermal degradation temperature). The radical scavenging assay demonstrated the enhanced antioxidant potential of LAA/HP--CD-NF, as compared to native LAA. Overall, the study shows that cyclodextrin inclusion complex-incorporated NFs, are an effective approach for improving the limitations associated with LAA, and provide promising avenues in its therapeutic and food applications.

摘要

L-抗坏血酸(LAA)是一种关键维生素,参与人体多种生理过程。由于其自由基清除活性,它被广泛用作药品和食品补充剂中的辅料。然而,其热稳定性和水稳定性较差,极大地阻碍了它的应用。在此,为提高稳定性并抑制氧化降解,我们制备了负载LAA-环糊精包合物的纳米纤维(NFs)。连续变量法(Job曲线)表明,LAA与羟丙基-β-环糊精(HP-β-CD)以2:1的摩尔化学计量比形成包合物。通过单步静电纺丝技术制备了NFs,未使用任何聚合物基质。通过粉末X射线衍射(PXRD)、傅里叶变换红外(FT-IR)分析、差示扫描量热法(DSC)、热重分析(TGA)以及核磁共振(1H NMR和2D-NOESY)光谱对LAA/HP-β-CD-NF进行固态表征,结果表明LAA(客体分子)有效包封在HP-β-CD(主体)腔内。扫描电子显微镜(SEM)显微照片显示平均纤维直径约为339nm。热分析结果表明,将LAA包封在HP-β-CD腔内可提高LAA的热稳定性(通过提高热降解温度)。自由基清除试验表明,与天然LAA相比,LAA/HP-β-CD-NF的抗氧化潜力增强。总体而言,该研究表明,负载环糊精包合物的纳米纤维是改善LAA相关局限性的有效方法,并为其治疗和食品应用提供了有前景的途径。

https://cdn.ncbi.nlm.nih.gov/pmc/blobs/20d0/10093489/65201026fe7e/foods-12-01363-g001.jpg

文献AI研究员

20分钟写一篇综述,助力文献阅读效率提升50倍。

立即体验

用中文搜PubMed

大模型驱动的PubMed中文搜索引擎

马上搜索

文档翻译

学术文献翻译模型,支持多种主流文档格式。

立即体验