Suppr超能文献

混合配体铜(II)和锌(II)配合物的细胞毒性和抗菌潜力:实验与计算相结合的研究

Cytotoxicity and Antibacterial Potentials of Mixed Ligand Cu(II) and Zn(II) Complexes: A Combined Experimental and Computational Study.

作者信息

Alem Mamaru Bitew, Desalegn Tegene, Damena Tadewos, Alemayehu Bayle Enyew, Koobotse Moses O, Ngwira Kennedy J, Ombito Japheth O, Zachariah Matshediso, Demissie Taye B

机构信息

Department of Applied Chemistry, Adama Science and Technology University, P.O.Box 1888, Adama 251, Ethiopia.

Department of Chemistry, Wachemo University, P.O.Box 667, Hossana 667, Ethiopia.

出版信息

ACS Omega. 2023 Mar 29;8(14):13421-13434. doi: 10.1021/acsomega.3c00916. eCollection 2023 Apr 11.

Abstract

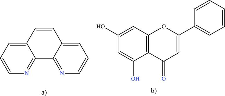
[Cu(CHO)(CHN)OCH]·3HO () and [Zn(CHO)(CHN)]OCH () have been synthesized and characterized by ultraviolet-visible (UV-vis) spectroscopy, Fourier transform infrared (FTIR) spectroscopy, mass spectrometry, thermogravimetric analysis/differential thermal analysis (TGA/DTA), X-ray diffraction (XRD), scanning electron microscopy-energy-dispersive X-ray spectroscopy (SEM-EDX), and molar conductance, and supported by density functional theory (DFT) and time-dependent DFT (TD-DFT) calculations. Square pyramidal and tetrahedral geometries are proposed for Cu(II) and Zn(II) complexes, respectively, and the XRD patterns showed the polycrystalline nature of the complexes. Furthermore, cytotoxic activity of the complexes was evaluated against the human breast cancer cell line (MCF-7). A Cu(II) centered complex with an IC value of 4.09 μM was more effective than the Zn(II) centered complex and positive control, cisplatin, which displayed IC values of 75.78 and 18.62 μM, respectively. In addition, the newly synthesized complexes experienced the innate antioxidant nature of the metal centers for scavenging the DPPH free radical (up to 81% at 400 ppm). The biological significance of the metal complexes was inferred from the highest occupied molecular orbital-lowest unoccupied molecular orbital (HOMO-LUMO) energy band gap, which was found to be 2.784 and 3.333 eV, respectively for and , compared to the ligands, 1,10-phenathroline (4.755 eV) and chrysin (4.403 eV). Moreover, the molecular docking simulations against estrogen receptor alpha (ERα; PDB: 5GS4) were strongly associated with the biological activity results ( and are -8.35 kcal/mol and 0.76 μM for , -7.52 kcal/mol and 3.07 μM for , and -6.32 kcal/mol and 23.42 μM for cisplatin). However, more research on cytotoxicity is suggested to confirm the promising cytotoxicity results.

摘要

已合成了[Cu(CHO)(CHN)OCH]·3HO () 和 [Zn(CHO)(CHN)]OCH (),并通过紫外可见(UV-vis)光谱、傅里叶变换红外(FTIR)光谱、质谱、热重分析/差示热分析(TGA/DTA)、X射线衍射(XRD)、扫描电子显微镜-能量色散X射线光谱(SEM-EDX)和摩尔电导率对其进行了表征,并得到了密度泛函理论(DFT)和含时密度泛函理论(TD-DFT)计算的支持。分别为Cu(II)和Zn(II)配合物提出了四方锥和四面体几何构型,XRD图谱显示了配合物的多晶性质。此外,还评估了这些配合物对人乳腺癌细胞系(MCF-7)的细胞毒性活性。一种以Cu(II)为中心的配合物,其IC值为4.09 μM,比以Zn(II)为中心的配合物和阳性对照顺铂更有效,顺铂的IC值分别为75.78和18.62 μM。此外,新合成的配合物具有金属中心清除DPPH自由基的固有抗氧化性质(在400 ppm时高达81%)。金属配合物的生物学意义是从最高占据分子轨道-最低未占据分子轨道(HOMO-LUMO)能带隙推断出来的,与配体1,10-菲咯啉(4.755 eV)和白杨素(4.403 eV)相比,对于 和 ,其能带隙分别为2.784和3.333 eV。此外,针对雌激素受体α(ERα;PDB:5GS4)的分子对接模拟与 生物学活性结果密切相关(对于 , 和 分别为-8.35 kcal/mol和0.76 μM,对于 ,为-7.52 kcal/mol和3.07 μM,对于顺铂,为-6.32 kcal/mol和23.42 μM)。然而,建议对 细胞毒性进行更多研究以证实这些有前景的细胞毒性结果。

https://cdn.ncbi.nlm.nih.gov/pmc/blobs/d5ec/10099420/a88a6e8c39c4/ao3c00916_0002.jpg

文献AI研究员

20分钟写一篇综述,助力文献阅读效率提升50倍。

立即体验

用中文搜PubMed

大模型驱动的PubMed中文搜索引擎

马上搜索

文档翻译

学术文献翻译模型,支持多种主流文档格式。

立即体验