Suppr超能文献

高乳腺癌风险女性的可改变风险因素:系统评价。

Modifiable risk factors in women at high risk of breast cancer: a systematic review.

机构信息

Washington University in St. Louis School of Medicine, St. Louis, MO, USA.

出版信息

Breast Cancer Res. 2023 Apr 24;25(1):45. doi: 10.1186/s13058-023-01636-1.

Abstract

BACKGROUND

Modifiable risk factors (alcohol, smoking, obesity, hormone use, and physical activity) affect a woman's breast cancer (BC) risk. Whether these factors affect BC risk in women with inherited risk (family history, BRCA1/2 mutations, or familial cancer syndrome) remains unclear.

METHODS

This review included studies on modifiable risk factors for BC in women with inherited risk. Pre-determined eligibility criteria were used and relevant data were extracted.

RESULTS

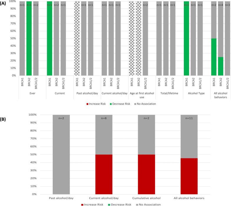
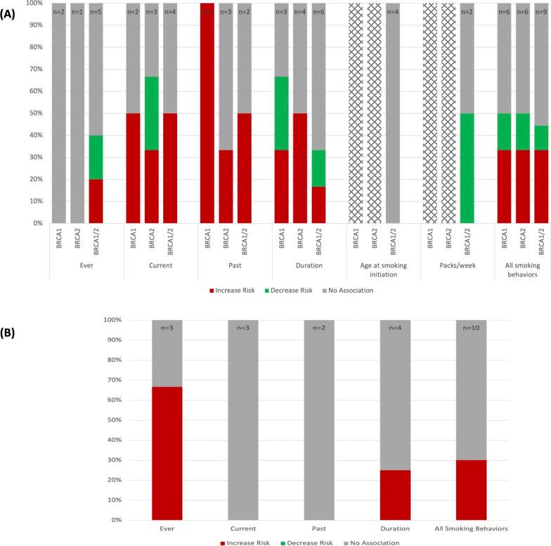
The literature search resulted in 93 eligible studies. For women with family history, most studies indicated that modifiable risk factors had no association with BC and some indicated decreased (physical activity) or increased risk (hormonal contraception (HC)/menopausal hormone therapy (MHT), smoking, alcohol). For women with BRCA mutations, most studies reported no association between modifiable risk factors and BC; however, some observed increased (smoking, MHT/HC, body mass index (BMI)/weight) and decreased risk (alcohol, smoking, MHT/HC, BMI/weight, physical activity). However, measurements varied widely among studies, sample sizes were often small, and a limited number of studies existed.

CONCLUSIONS

An increasing number of women will recognize their underlying inherited BC risk and seek to modify that risk. Due to heterogeneity and limited power of existing studies, further studies are needed to better understand how modifiable risk factors influence BC risk in women with inherited risk.

摘要

背景

可改变的风险因素(酒精、吸烟、肥胖、激素使用和身体活动)会影响女性的乳腺癌(BC)风险。这些因素是否会影响具有遗传风险(家族史、BRCA1/2 突变或家族性癌症综合征)的女性的 BC 风险尚不清楚。

方法

本综述纳入了关于具有遗传风险的女性的 BC 可改变风险因素的研究。使用了预先确定的合格标准并提取了相关数据。

结果

文献检索产生了 93 项合格的研究。对于有家族史的女性,大多数研究表明可改变的风险因素与 BC 没有关联,有些研究表明风险降低(身体活动)或增加(激素避孕(HC)/绝经激素治疗(MHT)、吸烟、酒精)。对于携带 BRCA 突变的女性,大多数研究报告称可改变的风险因素与 BC 之间没有关联;然而,一些研究观察到风险增加(吸烟、MHT/HC、体重指数(BMI)/体重)和风险降低(酒精、吸烟、MHT/HC、BMI/体重、身体活动)。然而,研究之间的测量差异很大,样本量通常较小,并且存在数量有限的研究。

结论

越来越多的女性将认识到她们潜在的遗传性 BC 风险,并寻求降低这种风险。由于现有研究的异质性和有限的能力,需要进一步的研究来更好地了解可改变的风险因素如何影响具有遗传风险的女性的 BC 风险。

https://cdn.ncbi.nlm.nih.gov/pmc/blobs/3b4a/10123992/a66e62779e8d/13058_2023_1636_Fig1_HTML.jpg

文献AI研究员

20分钟写一篇综述,助力文献阅读效率提升50倍。

立即体验

用中文搜PubMed

大模型驱动的PubMed中文搜索引擎

马上搜索

文档翻译

学术文献翻译模型,支持多种主流文档格式。

立即体验