Suppr超能文献

与均苯三甲酸交联的壳聚糖水凝胶用于癌症治疗中5-氟尿嘧啶的递送

Chitosan Hydrogels Cross-Linked with Trimesic Acid for the Delivery of 5-Fluorouracil in Cancer Therapy.

作者信息

Emani Sravani, Vangala Anil, Buonocore Federico, Yarandi Niousha, Calabrese Gianpiero

机构信息

School of Life Sciences, Pharmacy and Chemistry, Kingston University London, Kingston-upon-Thames KTI 2EE, UK.

出版信息

Pharmaceutics. 2023 Mar 28;15(4):1084. doi: 10.3390/pharmaceutics15041084.

Abstract

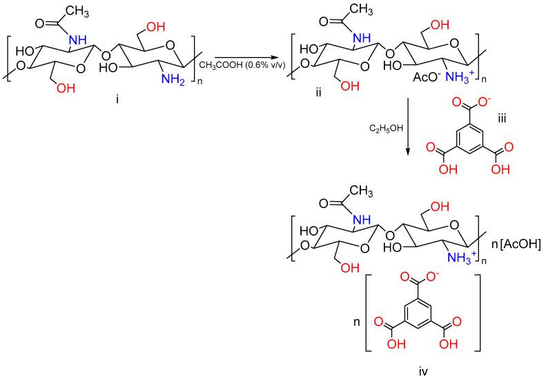
Chitosan exhibits unique properties making it a suitable material for drug delivery. Considering the rising popularity of hydrogels in this field, this work offers a comprehensive study of hydrogels constituted by chitosan and cross-linked with 1,3,5-benzene tricarboxylic acid (BTC; also known as trimesic acid). Hydrogels were prepared by cross-linking chitosan with BTC in different concentrations. The nature of the gels was studied through oscillatory amplitude strain and frequency sweep tests within the linear viscoelastic region (LVE) limit. The flow curves of the gels revealed shear thinning behavior. High G' values imply strong cross-linking with improved stability. The rheological tests revealed that the strength of the hydrogel network increased with the cross-linking degree. Hardness, cohesiveness, adhesiveness, compressibility, and elasticity of the gels were determined using a texture analyzer. The scanning electron microscopy (SEM) data of the cross-linked hydrogels showed distinctive pores with a pore size increasing according to increasing concentrations (pore size range between 3-18 µm). Computational analysis was performed by docking simulations between chitosan and BTC. Drug release studies employing 5-fluorouracil (5-FU) yielded a more sustained release profile with 35 to 50% release among the formulations studied in a 3 h period. Overall, this work demonstrated that the presence of BTC as cross-linker leads to satisfactory mechanical properties of the chitosan hydrogel, suggesting potential applications in the sustained release of cancer therapeutics.

摘要

壳聚糖具有独特的性质,使其成为一种适合药物递送的材料。鉴于水凝胶在该领域的日益普及,这项工作对由壳聚糖构成并与1,3,5-苯三甲酸(BTC;也称为偏苯三甲酸)交联的水凝胶进行了全面研究。通过将壳聚糖与不同浓度的BTC交联来制备水凝胶。通过在线性粘弹性区域(LVE)极限内进行振荡振幅应变和频率扫描测试来研究凝胶的性质。凝胶的流动曲线显示出剪切变稀行为。高G'值意味着更强的交联和更高的稳定性。流变学测试表明,水凝胶网络的强度随着交联度的增加而增加。使用质地分析仪测定凝胶的硬度、内聚性、粘附性、压缩性和弹性。交联水凝胶的扫描电子显微镜(SEM)数据显示出独特的孔隙,孔隙尺寸随着浓度的增加而增大(孔隙尺寸范围在3-18 µm之间)。通过壳聚糖和BTC之间的对接模拟进行计算分析。采用5-氟尿嘧啶(5-FU)的药物释放研究在3小时内研究的制剂中产生了更持续的释放曲线,释放率为35%至50%。总体而言,这项工作表明,作为交联剂的BTC的存在导致壳聚糖水凝胶具有令人满意的机械性能,表明其在癌症治疗药物的持续释放方面具有潜在应用。

https://cdn.ncbi.nlm.nih.gov/pmc/blobs/c0c1/10143928/2667735ef9b5/pharmaceutics-15-01084-g001.jpg

文献AI研究员

20分钟写一篇综述,助力文献阅读效率提升50倍。

立即体验

用中文搜PubMed

大模型驱动的PubMed中文搜索引擎

马上搜索

文档翻译

学术文献翻译模型,支持多种主流文档格式。

立即体验