Suppr超能文献

红葡萄汁提取物对双酚A诱导的人脐静脉内皮细胞毒性的保护作用。

Protective Effects of a Red Grape Juice Extract against Bisphenol A-Induced Toxicity in Human Umbilical Vein Endothelial Cells.

作者信息

Russo Caterina, Maugeri Alessandro, Albergamo Ambrogina, Dugo Giacomo, Navarra Michele, Cirmi Santa

机构信息

Department of Chemical, Biological, Pharmaceutical and Environmental Sciences, University of Messina, 98166 Messina, Italy.

Department of Veterinary Sciences, University of Messina, 98168 Messina, Italy.

出版信息

Toxics. 2023 Apr 21;11(4):391. doi: 10.3390/toxics11040391.

Abstract

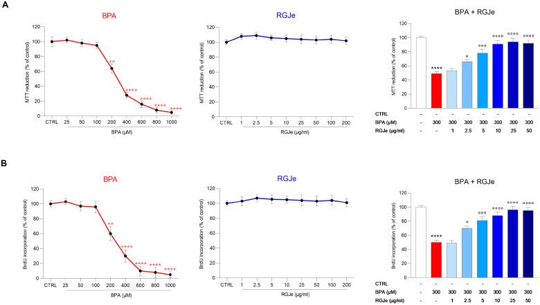
Human exposure to bisphenol A (BPA) occurs through the ingestion of contaminated food and water, thus leading to endothelial dysfunction, the first signal of atherosclerosis. L. (grape) juice is well known for its health-promoting properties, due to its numerous bioactive compounds among which are polyphenols. The aim of this study was to evaluate the protective effect of a red grape juice extract (RGJe) against the endothelial damage induced by BPA in human umbilical vein endothelial cells (HUVECs) as an in vitro model of endothelial dysfunction. Our results showed that RGJe treatment counteracted BPA-induced cell death and apoptosis in HUVECs, blocking caspase 3 and modulating p53, Bax, and Bcl-2. Moreover, RGJe demonstrated antioxidant properties in abiotic tests and in vitro, where it reduced BPA-induced reactive oxygen species as well as restored mitochondrial membrane potential, DNA integrity, and nitric oxide levels. Furthermore, RGJe reduced the increase of chemokines (IL-8, IL-1β, and MCP-1) and adhesion molecules (VCAM-1, ICAM-1, and E-selectin), caused by BPA exposure, involved in the primary phase of atheromatous plaque formation. Overall, our results suggest that RGJe prevents BPA-induced vascular damage modulating specific intracellular mechanisms, along with protecting cells, owing to its antioxidant capability.

摘要

人类通过摄入受污染的食物和水接触双酚A(BPA),进而导致内皮功能障碍,这是动脉粥样硬化的首个信号。葡萄汁因其众多生物活性化合物(其中包括多酚)而具有促进健康的特性,因而广为人知。本研究的目的是评估红葡萄汁提取物(RGJe)对双酚A诱导的人脐静脉内皮细胞(HUVECs)内皮损伤的保护作用,以此作为内皮功能障碍的体外模型。我们的结果表明,RGJe处理可抵消双酚A诱导的HUVECs细胞死亡和凋亡,阻断半胱天冬酶3并调节p53、Bax和Bcl-2。此外,RGJe在非生物试验和体外均表现出抗氧化特性,它可减少双酚A诱导的活性氧,还能恢复线粒体膜电位、DNA完整性和一氧化氮水平。此外,RGJe可降低双酚A暴露引起的趋化因子(IL-8、IL-1β和MCP-1)和黏附分子(VCAM-1、ICAM-1和E-选择素)的增加,这些因子参与动脉粥样斑块形成的初始阶段。总体而言,我们的结果表明,RGJe可通过调节特定的细胞内机制来预防双酚A诱导的血管损伤,同时因其抗氧化能力保护细胞。

https://cdn.ncbi.nlm.nih.gov/pmc/blobs/1808/10145567/53a5e0f90db8/toxics-11-00391-g001.jpg

文献AI研究员

20分钟写一篇综述,助力文献阅读效率提升50倍。

立即体验

用中文搜PubMed

大模型驱动的PubMed中文搜索引擎

马上搜索

文档翻译

学术文献翻译模型,支持多种主流文档格式。

立即体验