Suppr超能文献

高VISTA表达与强烈的上皮-间质转化相关,且在乳腺癌中与PD1呈正相关。

High VISTA expression is linked to a potent epithelial-mesenchymal transition and is positively correlated with PD1 in breast cancer.

作者信息

Rezouki Ibtissam, Zohair Basma, Ssi Saadia Ait, Karkouri Mehdi, Razzouki Ibtissam, Elkarroumi Mohamed, Badou Abdallah

机构信息

Laboratory of Immunogenetics and Human Pathologies, Faculty of Medicine and Pharmacy of Casablanca, Hassan II University, Casablanca, Morocco.

Laboratory of Pathological Anatomy, University Hospital Center (CHU) Ibn Rochd, Hassan II University, Casablanca, Morocco.

出版信息

Front Oncol. 2023 Apr 20;13:1154631. doi: 10.3389/fonc.2023.1154631. eCollection 2023.

Abstract

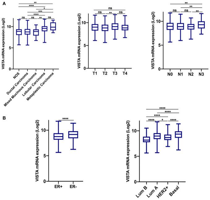
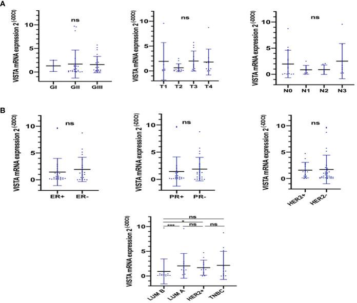
Breast cancer is the most common type of tumor in women worldwide. Immune checkpoint inhibitors, particularly anti-PDL1, have shown promise as a therapeutic approach for managing this disease. However, this type of immunotherapy still fails to work for some patients, leading researchers to explore alternative immune checkpoint targets. The Ig suppressor of T cell activation domain V (VISTA) has emerged as a novel immune checkpoint that delivers inhibitory signals to T cells and has demonstrated encouraging results in various cancers. Our study investigated the association of VISTA expression with clinicopathological parameters in breast cancer patients, its involvement in the Epithelial-Mesenchymal-Transition (EMT) process, and its correlation with PD1 expression. Transcriptomic analysis revealed that VISTA was associated with lobular and metaplastic histological type, tumor size, lymph node status, ER and PR negative status, and the TNBC molecular subtype. Furthermore, VISTA expression was strongly associated with an immunosuppressive tumor microenvironment. Immunohistochemistry analysis corroborated the transcriptomic results, indicating that VISTA was expressed in most immune cells (94%) and was significantly expressed in breast cancer tumor cells compared to matched adjacent tissues. Our study also showed for the first time that VISTA overexpression in breast cancer cells could be associated with the EMT process. Additionally, we identified a positive correlation between VISTA and PD-1 expression. Together, these results highlight the immunosuppressive effect of VISTA in breast cancer patients and suggest that bi-specific targeting of VISTA and PD-1 in combination therapy could be beneficial for these patients.

摘要

乳腺癌是全球女性中最常见的肿瘤类型。免疫检查点抑制剂,尤其是抗程序性死亡受体配体1(anti-PDL1),已显示出有望成为治疗这种疾病的方法。然而,这种免疫疗法对一些患者仍然无效,这促使研究人员探索其他免疫检查点靶点。T细胞激活抑制域V免疫球蛋白(VISTA)已成为一种新型免疫检查点,可向T细胞传递抑制信号,并在各种癌症中显示出令人鼓舞的结果。我们的研究调查了VISTA表达与乳腺癌患者临床病理参数的关联、其在上皮-间质转化(EMT)过程中的作用以及与程序性死亡受体1(PD1)表达的相关性。转录组分析显示,VISTA与小叶和化生组织学类型、肿瘤大小、淋巴结状态、雌激素受体(ER)和孕激素受体(PR)阴性状态以及三阴性乳腺癌(TNBC)分子亚型相关。此外,VISTA表达与免疫抑制性肿瘤微环境密切相关。免疫组织化学分析证实了转录组结果,表明VISTA在大多数免疫细胞(94%)中表达,与匹配的相邻组织相比,在乳腺癌肿瘤细胞中显著表达。我们的研究还首次表明,乳腺癌细胞中VISTA的过表达可能与EMT过程有关。此外,我们发现VISTA与PD-1表达之间存在正相关。总之,这些结果突出了VISTA在乳腺癌患者中的免疫抑制作用,并表明在联合治疗中对VISTA和PD-1进行双特异性靶向可能对这些患者有益。

https://cdn.ncbi.nlm.nih.gov/pmc/blobs/2e59/10157209/64f8ac9bb29e/fonc-13-1154631-g001.jpg

文献AI研究员

20分钟写一篇综述,助力文献阅读效率提升50倍。

立即体验

用中文搜PubMed

大模型驱动的PubMed中文搜索引擎

马上搜索

文档翻译

学术文献翻译模型,支持多种主流文档格式。

立即体验