Suppr超能文献

传感器薄膜的优化背后:三角金纳米粒子与血红素蛋白的生物共轭用于增强酶生物传感器的灵敏度。

Behind the Optimization of the Sensor Film: Bioconjugation of Triangular Gold Nanoparticles with Hemoproteins for Sensitivity Enhancement of Enzymatic Biosensors.

机构信息

Department of Physical Chemistry and Applied Thermodynamics, Institute of Chemistry for Energy and Environment, University of Cordoba, Campus Rabanales, Ed. Marie Curie, E-14014 Córdoba, Spain.

出版信息

Biosensors (Basel). 2023 Apr 10;13(4):467. doi: 10.3390/bios13040467.

Abstract

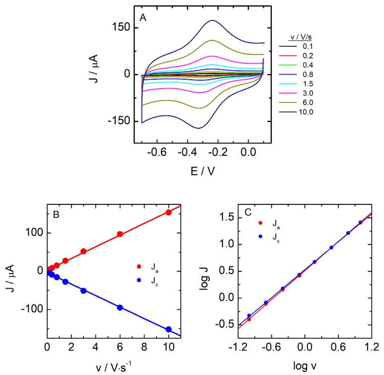
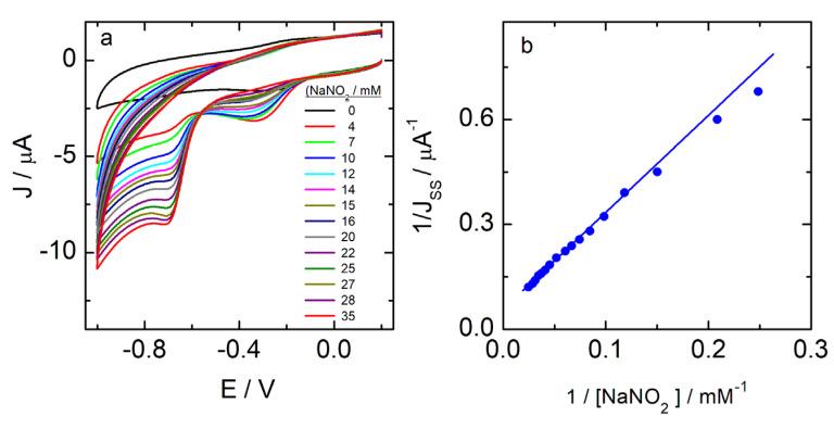
Electrochemical biosensors are widely used in a multitude of applications, such as medical, nutrition, research, among other fields. These sensors have been historically used and have not undergone many changes in terms of the involved electrochemical processes. In this work, we propose a new approach on the immobilization and enhancement of the electrochemical properties of the sensing layers through the control and bioconjugation of hemoproteins (hemoglobin, myoglobin, and cytochrome C) on anisotropic gold nanoparticles (gold nanotriangles (AuNTs)). The hemeproteins and the AuNTs are mixed in a solution, resulting in stable bioconjugates that are deposited onto the electrode surface to obtain the biosensors. All the systems proposed herein exhibited direct well-defined redox responses, highlighting the key role of the AuNTs acting as mediators of such electron transfers. Several protein layers surrounding the AuNTs are electroactive, as demonstrated from the charge measured by cyclic voltammetry. The retention of the stability of the hemeproteins once they are part of the bioconjugates is evidenced towards the electrocatalytic reduction of hydrogen peroxide, oxygen, and nitrite. The parameters obtained for the proposed biosensors are similar or even lower than those previously reported for similar systems based on nanomaterials, and they exhibit attractive properties that make them potential candidates for the latest developments in the field of sensing devices.

摘要

电化学生物传感器广泛应用于医学、营养、研究等多个领域。这些传感器在历史上已经得到了广泛应用,在涉及的电化学过程方面并没有发生太多变化。在这项工作中,我们通过控制和生物共轭血红蛋白(血红蛋白、肌红蛋白和细胞色素 C)在各向异性金纳米粒子(金纳米三角(AuNTs))上,提出了一种新的方法来固定和增强传感层的电化学性质。将血红素蛋白和 AuNTs 混合在溶液中,得到稳定的生物共轭物,然后将其沉积在电极表面上以获得生物传感器。本文提出的所有系统都表现出直接的、定义明确的氧化还原响应,突出了 AuNTs 作为电子转移介体的关键作用。从循环伏安法测量的电荷可以看出,AuNTs 周围的几个蛋白质层都是电活性的。血红素蛋白一旦成为生物共轭物的一部分,其稳定性得以保留,这证明了它们对过氧化氢、氧气和亚硝酸盐的电催化还原作用。与基于纳米材料的类似系统的先前报道相比,所提出的生物传感器的参数相似甚至更低,并且它们表现出有吸引力的特性,使它们成为传感设备领域最新发展的潜在候选者。

https://cdn.ncbi.nlm.nih.gov/pmc/blobs/9ebf/10136871/9b27c8ba8ab1/biosensors-13-00467-sch001.jpg

文献AI研究员

20分钟写一篇综述,助力文献阅读效率提升50倍。

立即体验

用中文搜PubMed

大模型驱动的PubMed中文搜索引擎

马上搜索

文档翻译

学术文献翻译模型,支持多种主流文档格式。

立即体验