Suppr超能文献

G 蛋白偶联雌激素受体 GPER 在健康和疾病中的作用:最新进展。

The G protein-coupled oestrogen receptor GPER in health and disease: an update.

机构信息

Department of Internal Medicine, Division of Molecular Medicine, University of New Mexico Health Sciences Center, Albuquerque, NM, USA.

Center of Biomedical Research Excellence in Autophagy, Inflammation and Metabolism, University of New Mexico Health Sciences Center, Albuquerque, NM, USA.

出版信息

Nat Rev Endocrinol. 2023 Jul;19(7):407-424. doi: 10.1038/s41574-023-00822-7. Epub 2023 May 16.

Abstract

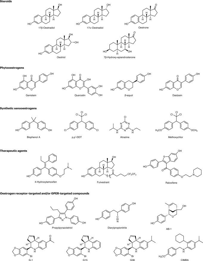
Oestrogens and their receptors contribute broadly to physiology and diseases. In premenopausal women, endogenous oestrogens protect against cardiovascular, metabolic and neurological diseases and are involved in hormone-sensitive cancers such as breast cancer. Oestrogens and oestrogen mimetics mediate their effects via the cytosolic and nuclear receptors oestrogen receptor-α (ERα) and oestrogen receptor-β (ERβ) and membrane subpopulations as well as the 7-transmembrane G protein-coupled oestrogen receptor (GPER). GPER, which dates back more than 450 million years in evolution, mediates both rapid signalling and transcriptional regulation. Oestrogen mimetics (such as phytooestrogens and xenooestrogens including endocrine disruptors) and licensed drugs such as selective oestrogen receptor modulators (SERMs) and downregulators (SERDs) also modulate oestrogen receptor activity in both health and disease. Following up on our previous Review of 2011, we herein summarize the progress made in the field of GPER research over the past decade. We will review molecular, cellular and pharmacological aspects of GPER signalling and function, its contribution to physiology, health and disease, and the potential of GPER to serve as a therapeutic target and prognostic indicator of numerous diseases. We also discuss the first clinical trial evaluating a GPER-selective drug and the opportunity of repurposing licensed drugs for the targeting of GPER in clinical medicine.

摘要

雌激素及其受体广泛参与生理和疾病过程。在绝经前女性中,内源性雌激素可预防心血管疾病、代谢疾病和神经退行性疾病,并与激素敏感性癌症(如乳腺癌)有关。雌激素和雌激素模拟物通过胞质和核受体雌激素受体-α(ERα)和雌激素受体-β(ERβ)以及膜亚群以及 7 跨膜 G 蛋白偶联雌激素受体(GPER)发挥作用。GPER 的进化历史可以追溯到 4.5 亿多年前,它介导快速信号转导和转录调节。雌激素模拟物(如植物雌激素和包括内分泌干扰物在内的外源性雌激素)和已批准的药物,如选择性雌激素受体调节剂(SERMs)和下调剂(SERDs),也在健康和疾病中调节雌激素受体活性。在我们之前于 2011 年发表的综述基础上,我们在此总结了过去十年中 GPER 研究领域的进展。我们将回顾 GPER 信号转导和功能的分子、细胞和药理学方面,它对生理、健康和疾病的贡献,以及 GPER 作为治疗靶点和许多疾病的预后指标的潜力。我们还讨论了首个评估 GPER 选择性药物的临床试验以及在临床医学中重新利用已批准药物靶向 GPER 的机会。

https://cdn.ncbi.nlm.nih.gov/pmc/blobs/aa76/10187525/1127d036eec5/41574_2023_822_Fig1_HTML.jpg

文献AI研究员

20分钟写一篇综述,助力文献阅读效率提升50倍。

立即体验

用中文搜PubMed

大模型驱动的PubMed中文搜索引擎

马上搜索

文档翻译

学术文献翻译模型,支持多种主流文档格式。

立即体验