Suppr超能文献

在高艾滋病毒流行地区,南非 2012-2016 年不同年龄流感样疾病和严重急性呼吸道感染患者中呼吸道合胞病毒的归因分数。

The attributable fraction of respiratory syncytial virus among patients of different ages with influenza-like illness and severe acute respiratory illness in a high HIV prevalence setting, South Africa, 2012-2016.

机构信息

Center for Respiratory Diseases and Meningitis, National Institute for Communicable Diseases of the National Health Laboratory Service, Johannesburg, South Africa; School of Public Health, Faculty of Health Sciences, University of the Witwatersrand, Johannesburg, South Africa.

Center for Respiratory Diseases and Meningitis, National Institute for Communicable Diseases of the National Health Laboratory Service, Johannesburg, South Africa; MassGenics, Atlanta, Georgia, United States of America and Influenza Program, Centers for Disease Control and Prevention, Pretoria, South Africa.

出版信息

Int J Infect Dis. 2023 Sep;134:71-77. doi: 10.1016/j.ijid.2023.05.009. Epub 2023 May 20.

Abstract

OBJECTIVES

The detection of respiratory syncytial virus (RSV) in upper airway samples does not necessarily infer causality of illness. We aimed to calculate the attributable fraction (AF) of RSV in clinical syndromes across age groups.

METHODS

Using unconditional logistic regression models, we estimated the AF of RSV-associated influenza-like illness (ILI) and severe acute respiratory illness (SARI) cases by comparing RSV detection prevalence among ILI and SARI cases to those of healthy controls in South Africa, 2012-2016. The analysis, stratified by HIV serostatus, was conducted in the age categories <1, 1-4, 5-24, 25-44, 45-64, and ≥65 years.

RESULTS

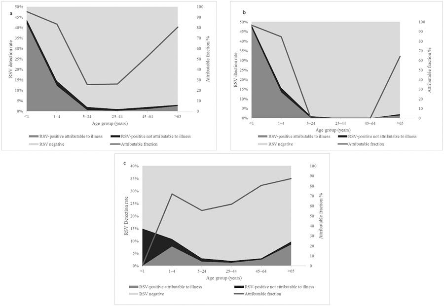
We included 12,048 individuals: 2687 controls, 5449 ILI cases, and 5449 SARI cases. RSV-AFs for ILI were significant in <1, 1-4, 5-and 24, 25-44-year age groups: 84.9% (95% confidence interval [CI] 69.3-92.6%), 74.6% (95% CI 53.6-86.0%), 60.8% (95% CI 21.4-80.5%) and 64.1% (95% CI 14.9-84.9%), respectively. Similarly, significant RSV-AFs for SARI were 95.3% (95% CI 91.1-97.5) and 83.4% (95% CI 70.9-90.5) in the <1 and 1-4-year age groups respectively. In HIV-infected persons, RSV was significantly associated with ILI cases vs controls in individuals aged 5-44 years.

CONCLUSION

High RSV-AFs in young children confirm RSV detection is associated with severe respiratory illness in South African children, specifically infants. These estimates will assist with refining burden estimates and cost-effectiveness models.

摘要

目的

上呼吸道样本中呼吸道合胞病毒(RSV)的检测不一定能推断疾病的因果关系。我们旨在计算各年龄段临床综合征中 RSV 的归因分数(AF)。

方法

使用无条件逻辑回归模型,我们通过比较南非 2012-2016 年流感样疾病(ILI)和严重急性呼吸道感染(SARI)病例中 RSV 检测的流行率与健康对照者的流行率,估计了 RSV 相关ILI 和 SARI 病例的 RSV 关联的归因分数(AF)。该分析按 HIV 血清状态分层,分为<1、1-4、5-24、25-44、45-64 和≥65 岁。

结果

我们纳入了 12048 人:2687 名对照者,5449 例 ILI 病例和 5449 例 SARI 病例。<1、1-4、5-24 和 25-44 岁年龄组中,ILI 的 RSV-AF 显著:84.9%(95%置信区间 [CI] 69.3-92.6%)、74.6%(95% CI 53.6-86.0%)、60.8%(95% CI 21.4-80.5%)和 64.1%(95% CI 14.9-84.9%)。同样,<1 和 1-4 岁年龄组中 SARI 的 RSV-AF 分别为 95.3%(95% CI 91.1-97.5%)和 83.4%(95% CI 70.9-90.5%)。在 HIV 感染者中,5-44 岁年龄组中,与对照者相比,RSV 与 ILI 病例显著相关。

结论

幼儿中 RSV-AF 较高,证实 RSV 检测与南非儿童,特别是婴儿的严重呼吸道疾病有关。这些估计将有助于完善负担估计和成本效益模型。

https://cdn.ncbi.nlm.nih.gov/pmc/blobs/ff01/10675839/8827ee86c891/nihms-1942656-f0001.jpg

文献AI研究员

20分钟写一篇综述,助力文献阅读效率提升50倍。

立即体验

用中文搜PubMed

大模型驱动的PubMed中文搜索引擎

马上搜索

文档翻译

学术文献翻译模型,支持多种主流文档格式。

立即体验