Suppr超能文献

SM14est的纯化及生化特性研究,一种源自海洋海绵SM14的PET水解酶。

Purification and biochemical characterization of SM14est, a PET-hydrolyzing enzyme from the marine sponge-derived sp. SM14.

作者信息

Carr Clodagh M, Keller Malene B, Paul Bijoya, Schubert Sune W, Clausen Kristine S R, Jensen Kenneth, Clarke David J, Westh Peter, Dobson Alan D W

机构信息

School of Microbiology, University College Cork, Cork, Ireland.

SSPC-SFI Research Centre for Pharmaceuticals, University College Cork, Cork, Ireland.

出版信息

Front Microbiol. 2023 May 12;14:1170880. doi: 10.3389/fmicb.2023.1170880. eCollection 2023.

Abstract

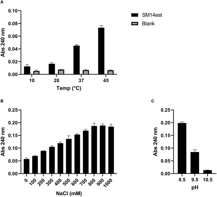
The successful enzymatic degradation of polyester substrates has fueled worldwide investigation into the treatment of plastic waste using bio-based processes. Within this realm, marine-associated microorganisms have emerged as a promising source of polyester-degrading enzymes. In this work, we describe the hydrolysis of the synthetic polymer PET by SM14est, a polyesterase which was previously identified from sp. SM14, an isolate of the marine sponge . The PET hydrolase activity of purified SM14est was assessed using a suspension-based assay and subsequent analysis of reaction products by UV-spectrophotometry and RP-HPLC. SM14est displayed a preference for high salt conditions, with activity significantly increasing at sodium chloride concentrations from 100 mM up to 1,000 mM. The initial rate of PET hydrolysis by SM14est was determined to be 0.004 s at 45°C, which was increased by 5-fold to 0.02 s upon addition of 500 mM sodium chloride. Sequence alignment and structural comparison with known PET hydrolases, including the marine halophile PET6, and the highly efficient, thermophilic PHL7, revealed conserved features of interest. Based on this work, SM14est emerges as a useful enzyme that is more similar to key players in the area of PET hydrolysis, like PHL7 and IsPETase, than it is to its marine counterparts. Salt-tolerant polyesterases such as SM14est are potentially valuable in the biological degradation of plastic particles that readily contaminate marine ecosystems and industrial wastewaters.

摘要

聚酯底物的成功酶促降解推动了全球范围内对利用生物基工艺处理塑料垃圾的研究。在这一领域,与海洋相关的微生物已成为聚酯降解酶的一个有前景的来源。在这项工作中,我们描述了由SM14est对合成聚合物PET的水解作用,SM14est是一种先前从海洋海绵分离物SM14中鉴定出的聚酯酶。使用基于悬浮液的测定法评估纯化后的SM14est的PET水解酶活性,并随后通过紫外分光光度法和反相高效液相色谱法分析反应产物。SM14est表现出对高盐条件的偏好,在氯化钠浓度从100 mM到1000 mM时活性显著增加。在45°C下,SM14est对PET的初始水解速率确定为0.004 s,添加500 mM氯化钠后增加到0.02 s,提高了5倍。与已知的PET水解酶(包括海洋嗜盐菌PET6和高效嗜热菌PHL7)进行序列比对和结构比较,揭示了有趣的保守特征。基于这项工作,SM14est成为一种有用的酶,它与PET水解领域的关键酶(如PHL7和IsPETase)更为相似,而与其海洋同类酶不同。像SM14est这样的耐盐聚酯酶在生物降解容易污染海洋生态系统和工业废水的塑料颗粒方面可能具有重要价值。

https://cdn.ncbi.nlm.nih.gov/pmc/blobs/aa89/10213408/b11dc37d71cd/fmicb-14-1170880-g0001.jpg

文献AI研究员

20分钟写一篇综述,助力文献阅读效率提升50倍。

立即体验

用中文搜PubMed

大模型驱动的PubMed中文搜索引擎

马上搜索

文档翻译

学术文献翻译模型,支持多种主流文档格式。

立即体验