Suppr超能文献

天然产物结构修饰中的异恶唑/异恶唑啉骨架:综述

Isoxazole/Isoxazoline Skeleton in the Structural Modification of Natural Products: A Review.

作者信息

Wang Xiyue, Hu Qingyun, Tang Hui, Pan Xinhui

机构信息

Laboratory of Xinjiang Phytomedicine Resource and Utilization, Ministry of Education, School of Pharmaceutical Sciences, Shihezi University, Shihezi 832002, China.

出版信息

Pharmaceuticals (Basel). 2023 Feb 2;16(2):228. doi: 10.3390/ph16020228.

Abstract

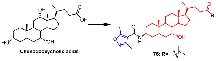
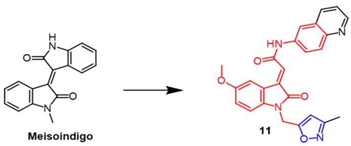
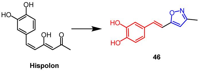
Isoxazoles and isoxazolines are five-membered heterocyclic molecules containing nitrogen and oxygen. Isoxazole and isoxazoline are the most popular heterocyclic compounds for developing novel drug candidates. Over 80 molecules with a broad range of bioactivities, including antitumor, antibacterial, anti-inflammatory, antidiabetic, cardiovascular, and other activities, were reviewed. A review of recent studies on the use of isoxazoles and isoxazolines moiety derivative activities for natural products is presented here, focusing on the parameters that affect the bioactivity of these compounds.

摘要

异恶唑和异恶唑啉是含有氮和氧的五元杂环分子。异恶唑和异恶唑啉是开发新型候选药物最常用的杂环化合物。本文综述了80多种具有广泛生物活性的分子,包括抗肿瘤、抗菌、抗炎、抗糖尿病、心血管等活性。本文介绍了对异恶唑和异恶唑啉部分衍生物活性在天然产物中应用的最新研究综述,重点关注影响这些化合物生物活性的参数。

https://cdn.ncbi.nlm.nih.gov/pmc/blobs/fd44/9964809/af33690500f9/pharmaceuticals-16-00228-g001.jpg

文献AI研究员

20分钟写一篇综述,助力文献阅读效率提升50倍。

立即体验

用中文搜PubMed

大模型驱动的PubMed中文搜索引擎

马上搜索

文档翻译

学术文献翻译模型,支持多种主流文档格式。

立即体验