Suppr超能文献

对西那卡塞治疗血液透析患者甲状旁腺功能亢进症的疗效和安全性的 Meta 分析。

Meta-analysis of the efficacy and safety of sevelamer as hyperphosphatemia therapy for hemodialysis patients.

机构信息

Department of General Practice, Shenzhen Luohu People's Hospital, The Third Affiliated Hospital of Shenzhen University, Shenzhen, PR China.

Department of Nephrology, Shenzhen Luohu People's Hospital, The Third Affiliated Hospital of Shenzhen University, Shenzhen, PR China.

出版信息

Ren Fail. 2023 Dec;45(1):2210230. doi: 10.1080/0886022X.2023.2210230.

Abstract

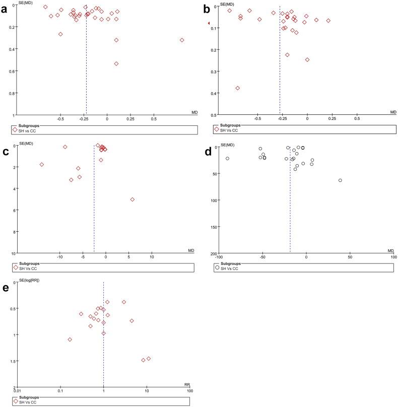
This study was designed to examine the relative safety and efficacy of sevelamer in the treatment of chronic kidney disease (CKD) patients in comparison to placebo, calcium carbonate (CC), or lanthanum carbonate (LC). The PubMed, Embase, Cochrane Library, and China National Knowledge Infrastructure (CNKI) databases were searched for articles published through 18 June 2022. The quality of relevant studies was independently analyzed by two investigators who also extracted data from these manuscripts as per Cochrane Collaboration Handbook 5.3. The safety and efficacy of sevelamer as a treatment for hyperphosphatemia in CKD patients were then examined through a meta-analysis, with the primary patient-level outcomes of interest in this analysis being all-cause mortality and the incidence of gastrointestinal adverse effects. Vascular calcification score was also examined as an intermediate outcome, while serum biochemical parameters including levels of phosphate (P), calcium (Ca), intact parathyroid hormone (iPTH), lipids, C-reactive protein (CRP), or fibroblast growth factor-23 (FGF-23) were additionally assessed. In total, this meta-analysis incorporated data from 34 randomized controlled trials (RCTs) enrolling 2802 patients. Sevelamer was associated with reduced all-cause mortality (RR 0.28, CI 0.19 - 0.41, ) and Vessel calcification score (RR -0.58, CI -1.11 to -0.04, ) and induced less hypercalcemia (MD -0.28, CI 0.40 to -0.16, ) and hyperphosphatemia (MD -0.22, CI -0.32 to -0.13, ) when compared with Ca-based binders in CKD5D individuals. No significant differences in gastrointestinal adverse events (GAEs) incidence were observed. These data suggest that sevelamer may represent a beneficial means of protecting CKD patients against death and vessel calcification when used to treat hyperphosphatemia, while we found no clinically important benefits in decreasing gastrointestinal adverse effects.

摘要

这项研究旨在比较司维拉姆与安慰剂、碳酸钙(CC)或碳酸镧(LC)在治疗慢性肾脏病(CKD)患者方面的相对安全性和疗效。通过检索 PubMed、Embase、Cochrane 图书馆和中国国家知识基础设施(CNKI)数据库,获取截至 2022 年 6 月 18 日发表的文章。两位研究者独立分析了相关研究的质量,并根据 Cochrane 协作手册 5.3 从这些文献中提取数据。然后通过荟萃分析检查司维拉姆治疗 CKD 患者高磷血症的安全性和疗效,本次分析主要关注的患者水平结局为全因死亡率和胃肠道不良事件的发生率。血管钙化评分也作为一个中间结局进行了检查,同时还评估了血清生化参数,包括磷(P)、钙(Ca)、全段甲状旁腺激素(iPTH)、脂质、C 反应蛋白(CRP)或成纤维细胞生长因子-23(FGF-23)水平。这项荟萃分析共纳入了 34 项随机对照试验(RCT),共纳入 2802 名患者。与钙基结合剂相比,司维拉姆可降低全因死亡率(RR 0.28,CI 0.19-0.41,)和血管钙化评分(RR-0.58,CI-1.11 至-0.04,),并较少引起高钙血症(MD-0.28,CI 0.40 至-0.16,)和高磷血症(MD-0.22,CI-0.32 至-0.13,)。胃肠道不良事件(GAEs)发生率无显著差异。这些数据表明,在治疗高磷血症时,司维拉姆可能是一种有益的方法,可以保护 CKD 患者免受死亡和血管钙化的影响,而我们没有发现减少胃肠道不良事件的临床重要获益。

https://cdn.ncbi.nlm.nih.gov/pmc/blobs/15dc/10243412/c75f8245ff9d/IRNF_A_2210230_F0001_C.jpg

文献AI研究员

20分钟写一篇综述,助力文献阅读效率提升50倍。

立即体验

用中文搜PubMed

大模型驱动的PubMed中文搜索引擎

马上搜索

文档翻译

学术文献翻译模型,支持多种主流文档格式。

立即体验