Suppr超能文献

与简易精神状态检查表相比,阿登布鲁克认知检查表第三版和简易阿登布鲁克认知检查表上轻度和中度痴呆的临界分数。

Cut-off scores for mild and moderate dementia on the Addenbrooke's Cognitive Examination-III and the Mini-Addenbrooke's Cognitive Examination compared with the Mini-Mental State Examination.

作者信息

McCarthy Louise, Rubinsztein Judy, Lowry Ellen, Flanagan Emma, Menon Vandana, Vearncombe Silvia, Mioshi Eneida, Hornberger Michael

机构信息

Norfolk and Suffolk NHS Foundation Trust, Norwich, UK.

Cambridge and Peterborough NHS Foundation Trust, Cambridge, UK.

出版信息

BJPsych Bull. 2024 Feb;48(1):12-18. doi: 10.1192/bjb.2023.27.

Abstract

AIMS AND METHOD

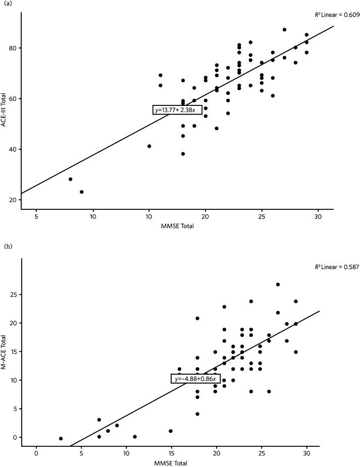
We aimed to establish cut-off scores to stage dementia on the Addenbrooke's Cognitive Examination-III (ACE-III) and the Mini-Addenbrooke's Cognitive Examination (M-ACE) compared with scores traditionally used with the Mini-Mental State Examination (MMSE). Our cross-sectional study recruited 80 patients and carers from secondary care services in the UK.

RESULTS

A score ≤76 on the ACE-III and ≤19 on the M-ACE correlated well with MMSE cut-offs for mild dementia, with a good fit on the receiver operating characteristic analysis for both the ACE-III and M-ACE. The cut-off for moderate dementia had lower sensitivity and specificity. There were low to moderate correlations between the cognitive scales and scales for everyday functioning and behaviour.

CLINICAL IMPLICATIONS

Our findings allow an objective interpretation of scores on the ACE-III and the M-ACE relative to the MMSE, which may be helpful for clinical services and research trials.

摘要

目的与方法

我们旨在确定用于在Addenbrooke认知检查第三版(ACE - III)和简易Addenbrooke认知检查(M - ACE)上对痴呆进行分期的临界值,并与传统上用于简易精神状态检查表(MMSE)的分数进行比较。我们的横断面研究从英国二级医疗服务机构招募了80名患者及护理人员。

结果

ACE - III得分≤76以及M - ACE得分≤19与轻度痴呆的MMSE临界值相关性良好,ACE - III和M - ACE在接受者操作特征分析中拟合良好。中度痴呆的临界值敏感性和特异性较低。认知量表与日常功能及行为量表之间存在低到中度的相关性。

临床意义

我们的研究结果有助于相对于MMSE对ACE - III和M - ACE的分数进行客观解读,这可能对临床服务和研究试验有所帮助。

https://cdn.ncbi.nlm.nih.gov/pmc/blobs/a7aa/10801363/ff1a184a85c7/S205646942300027X_fig1.jpg

文献AI研究员

20分钟写一篇综述,助力文献阅读效率提升50倍。

立即体验

用中文搜PubMed

大模型驱动的PubMed中文搜索引擎

马上搜索

文档翻译

学术文献翻译模型,支持多种主流文档格式。

立即体验