Suppr超能文献

在高频和高直流磁场下 NbTi 薄膜中的涡旋动力学。

Vortex dynamics in NbTi films at high frequency and high DC magnetic fields.

机构信息

Department of Applied Science and Technology, Politecnico di Torino, 10129, Turin, Italy.

Istituto Nazionale di Fisica Nucleare, Sezione di Torino, 10125, Turin, Italy.

出版信息

Sci Rep. 2023 Jun 8;13(1):9315. doi: 10.1038/s41598-023-36473-x.

Abstract

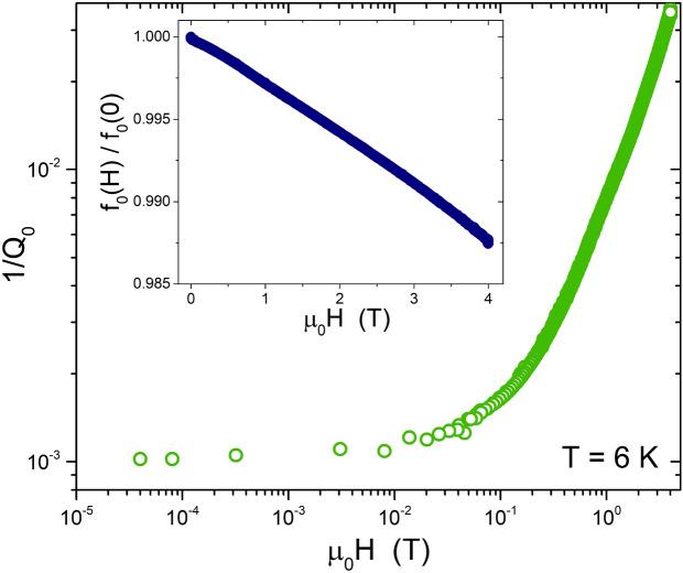
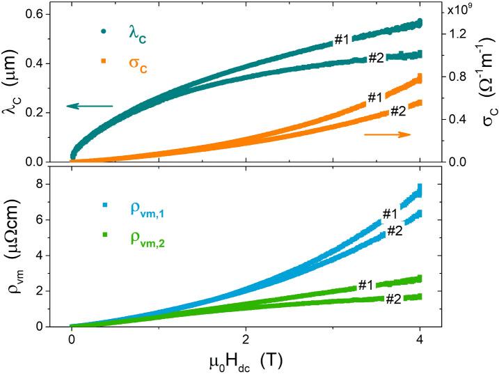
We report on the characterization of NbTi films at [Formula: see text] 11 GHz and in DC magnetic fields up to 4 T, performed by means of the coplanar waveguide resonator technique, providing quantitative information about the penetration depth, the complex impedance, and the vortex-motion-induced complex resistivity. This kind of characterization is essential for the development of radiofrequency cavity technology. To access the vortex-pinning parameters, the complex impedance was analyzed within the formalism of the Campbell penetration depth. Measurements in this frequency range allowed us to determine the complete set of vortex-pinning parameters and the flux flow resistivity, both analyzed and discussed in the framework of high-frequency vortex dynamics models. The analysis also benefits from the comparison with results obtained by a dielectric-loaded resonator technique on similar samples and by other ancillary structural and electromagnetic characterization techniques that provide us with a comprehensive picture of the material. It turns out that the normalized flux flow resistivity follows remarkably well the trend predicted by the time dependent Ginzburg-Landau theory, while the pinning constant exhibits a decreasing trend with the field which points to a collective pinning regime.

摘要

我们报告了在[Formula: see text]11 GHz 及高达 4 T 的直流磁场下 NbTi 薄膜的特性,这是通过共面波导谐振器技术实现的,提供了关于穿透深度、复阻抗和涡旋运动引起的复电阻率的定量信息。这种特性对于射频腔技术的发展至关重要。为了获取涡旋钉扎参数,我们在坎贝尔穿透深度的形式主义内分析了复阻抗。在这个频率范围内的测量使我们能够确定完整的涡旋钉扎参数集和通量流动电阻率,并在高频涡旋动力学模型的框架内进行了分析和讨论。分析还得益于与类似样品的介电加载谐振器技术以及其他辅助结构和电磁特性技术的结果进行比较,这些结果为我们提供了材料的全面情况。结果表明,归一化通量流动电阻率非常好地遵循了时变的吉布斯-朗道理论所预测的趋势,而钉扎常数随着磁场的减小呈下降趋势,这表明存在集体钉扎状态。

https://cdn.ncbi.nlm.nih.gov/pmc/blobs/02a3/10250406/9ffa0d5c6382/41598_2023_36473_Fig1_HTML.jpg

文献AI研究员

20分钟写一篇综述,助力文献阅读效率提升50倍。

立即体验

用中文搜PubMed

大模型驱动的PubMed中文搜索引擎

马上搜索

文档翻译

学术文献翻译模型,支持多种主流文档格式。

立即体验