Suppr超能文献

抗病毒治疗期间纤维化-4 改善与乙型肝炎肝硬化患者肝癌风险降低相关。

Improved on-treatment fibrosis-4 during antiviral therapy and lower hepatocellular carcinoma risk in cirrhotic patients with hepatitis B.

机构信息

Department of Medicine, Samsung Medical Center, Sungkyunkwan University School of Medicine, 81 Irwon-ro, Gangnam-gu, Seoul, 06351, Korea.

Department of Medicine, Nowon Eulji Medical Center, Eulji University School of Medicine, Seoul, 01830, Korea.

出版信息

Sci Rep. 2023 Jun 9;13(1):9443. doi: 10.1038/s41598-023-36668-2.

Abstract

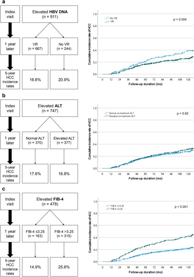
Normalization of serum alanine aminotransferase (ALT) levels is one of the goals of hepatitis B treatment. However, ALT levels in cirrhosis patients might be normal or mildly elevated regardless of ongoing inflammation. Therefore, we examined whether on-treatment ALT and other potential on-treatment indicators could be clinical surrogates of antiviral therapy in HBV-related cirrhosis. A total of 911 patients with HBV-related liver cirrhosis who started treatment with entecavir or tenofovir were analyzed. At 1 year of antiviral therapy, we evaluated 'ALT normalization', 'undetectable serum HBV DNA', 'fibrosis-4 (FIB-4) index improvement', and 'serum HBeAg loss' as potential biomarkers for HCC development. During 6.6 (3.8-10.2) years of follow-up, 222 patients (24.3%) newly developed HCC. Undetectable HBV DNA levels at 1 year were observed in 667 patients (73.2%), and the HCC incidence was significantly lower in this population (adjusted hazard ratio (HR) 0.66, 95% CI 0.50-0.87). Improvement of the FIB-4 index (< 3.25) was associated with a lower risk of HCC in 478 patients with an elevated FIB-4 index (adjusted HR 0.59, 95% CI 0.55-0.82). However, there was no significant difference in HCC risk between those with and without normalization of ALT levels (p = 0.39) among those with elevated ALT levels or between those with and without HBeAg seroconversion (p = 0.55) among HBeAg-positive patients. Therefore, on-treatment FIB-4 levels at 1 year are clinically useful surrogates of antiviral therapy for HBV-related cirrhosis patients.

摘要

血清丙氨酸氨基转移酶(ALT)水平正常化是乙型肝炎治疗的目标之一。然而,肝硬化患者的 ALT 水平可能正常或轻度升高,而不论是否存在持续的炎症。因此,我们研究了治疗中的 ALT 及其他潜在治疗指标是否可以作为乙型肝炎相关肝硬化抗病毒治疗的临床替代指标。共分析了 911 例开始接受恩替卡韦或替诺福韦治疗的乙型肝炎相关肝硬化患者。在抗病毒治疗 1 年后,我们评估了“ALT 正常化”、“血清乙型肝炎病毒 DNA 不可检测”、“纤维化-4(FIB-4)指数改善”和“血清 HBeAg 丢失”作为 HCC 发展的潜在生物标志物。在 6.6(3.8-10.2)年的随访期间,222 例患者(24.3%)新发生 HCC。在 667 例患者(73.2%)中观察到 1 年时 HBV DNA 不可检测,该人群 HCC 发生率显著降低(调整后的危险比(HR)0.66,95%CI 0.50-0.87)。在 478 例 FIB-4 指数升高的患者中,FIB-4 指数改善(<3.25)与 HCC 风险降低相关(调整后的 HR 0.59,95%CI 0.55-0.82)。然而,在 ALT 水平升高的患者中,ALT 水平正常化与 HCC 风险之间无显著差异(p=0.39),在 HBeAg 阳性患者中,HBeAg 血清学转换与 HCC 风险之间也无显著差异(p=0.55)。因此,治疗 1 年时的治疗中 FIB-4 水平是乙型肝炎相关肝硬化患者抗病毒治疗的有用临床替代指标。

https://cdn.ncbi.nlm.nih.gov/pmc/blobs/53d1/10256734/31ba449a35d7/41598_2023_36668_Fig1_HTML.jpg

文献AI研究员

20分钟写一篇综述,助力文献阅读效率提升50倍。

立即体验

用中文搜PubMed

大模型驱动的PubMed中文搜索引擎

马上搜索

文档翻译

学术文献翻译模型,支持多种主流文档格式。

立即体验