Suppr超能文献

慢性淋巴细胞白血病(CLL)患者稳定期的适应性和先天细胞毒性效应物。

Adaptive and Innate Cytotoxic Effectors in Chronic Lymphocytic Leukaemia (CLL) Subjects with Stable Disease.

机构信息

Department of Translational Medical Sciences, University of Naples "Federico II", 80131 Naples, Italy.

Department of Science, University of Basilicata, 85100 Potenza, Italy.

出版信息

Int J Mol Sci. 2023 May 31;24(11):9596. doi: 10.3390/ijms24119596.

Abstract

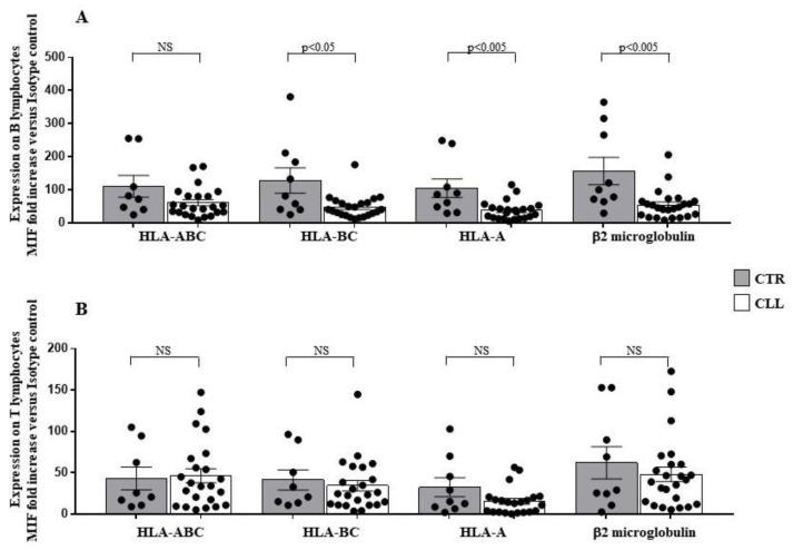
Chronic lymphocytic leukaemia (CLL) is characterised by the expansion of a neoplastic mature B cell clone. CLL clinical outcome is very heterogeneous, with some subjects never requiring therapy and some showing an aggressive disease. Genetic and epigenetic alterations and pro-inflammatory microenvironment influence CLL progression and prognosis. The involvement of immune-mediated mechanisms in CLL control needs to be investigated. We analyse the activation profile of innate and adaptive cytotoxic immune effectors in a cohort of 26 CLL patients with stable disease, as key elements for immune-mediated control of cancer progression. We observed an increase in CD54 expression and interferon (IFN)-γ production by cytotoxic T cells (CTL). CTL ability to recognise tumour-targets depends on human leukocyte antigens (HLA)-class I expression. We observed a decreased expression of HLA-A and HLA-BC on B cells of CLL subjects, associated with a significant reduction in intracellular calnexin that is relevant for HLA surface expression. Natural killer (NK) cells and CTL from CLL subjects show an increased expression of the activating receptor KIR2DS2 and a reduction of 3DL1 and NKG2A inhibiting molecules. Therefore, an activation profile characterises CTL and NK cells of CLL subjects with stable disease. This profile is conceivable with the functional involvement of cytotoxic effectors in CLL control.

摘要

慢性淋巴细胞白血病(CLL)的特征是肿瘤性成熟 B 细胞克隆的扩增。CLL 的临床结果非常多样化,有些患者从未需要治疗,而有些患者则表现出侵袭性疾病。遗传和表观遗传改变以及促炎微环境影响 CLL 的进展和预后。需要研究免疫介导机制在 CLL 控制中的作用。我们分析了 26 例稳定疾病的 CLL 患者固有和适应性细胞毒性免疫效应器的激活谱,作为免疫介导控制癌症进展的关键因素。我们观察到细胞毒性 T 细胞(CTL)的 CD54 表达和干扰素(IFN)-γ产生增加。CTL 识别肿瘤靶标的能力取决于人类白细胞抗原(HLA)-I 类的表达。我们观察到 CLL 患者 B 细胞 HLA-A 和 HLA-BC 的表达降低,与 HLA 表面表达相关的细胞内钙连蛋白显著减少有关。CLL 患者的自然杀伤(NK)细胞和 CTL 表达增加了激活受体 KIR2DS2,同时减少了 3DL1 和 NKG2A 抑制分子。因此,稳定疾病的 CLL 患者的 CTL 和 NK 细胞具有激活谱。这种谱可以与细胞毒性效应物在 CLL 控制中的功能参与相一致。

https://cdn.ncbi.nlm.nih.gov/pmc/blobs/96c2/10253385/2c5c68d805d6/ijms-24-09596-g001.jpg

文献AI研究员

20分钟写一篇综述,助力文献阅读效率提升50倍。

立即体验

用中文搜PubMed

大模型驱动的PubMed中文搜索引擎

马上搜索

文档翻译

学术文献翻译模型,支持多种主流文档格式。

立即体验