Suppr超能文献

结合全脑磁共振波谱成像和定量磁共振成像研究正常衰老人脑的微观结构和代谢变化。

Microstructural and Metabolic Changes in Normal Aging Human Brain Studied with Combined Whole-Brain MR Spectroscopic Imaging and Quantitative MR Imaging.

机构信息

Institute of Diagnostic and Interventional Neuroradiology, Hannover Medical School, Hannover, Germany.

Department of Diagnostic and Interventional Radiology and Neuroradiology, St. Vincenz Hospital Paderborn, Paderborn, Germany.

出版信息

Clin Neuroradiol. 2023 Dec;33(4):993-1005. doi: 10.1007/s00062-023-01300-3. Epub 2023 Jun 19.

Abstract

PURPOSE

This study aimed to detect age-related brain metabolic and microstructural changes in healthy human brains by the use of whole-brain proton magnetic resonance spectroscopic imaging (H‑MRSI) and quantitative MR imaging (qMRI).

METHODS

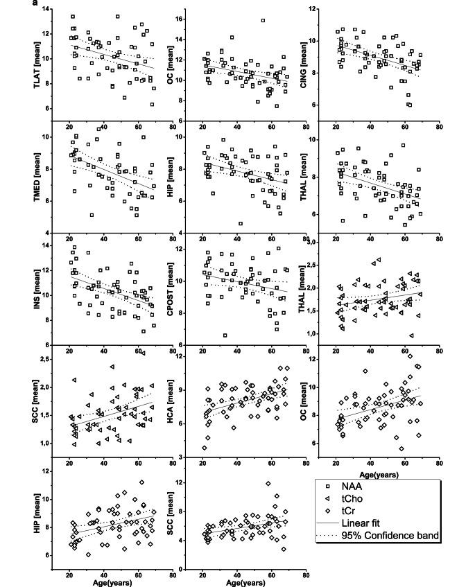
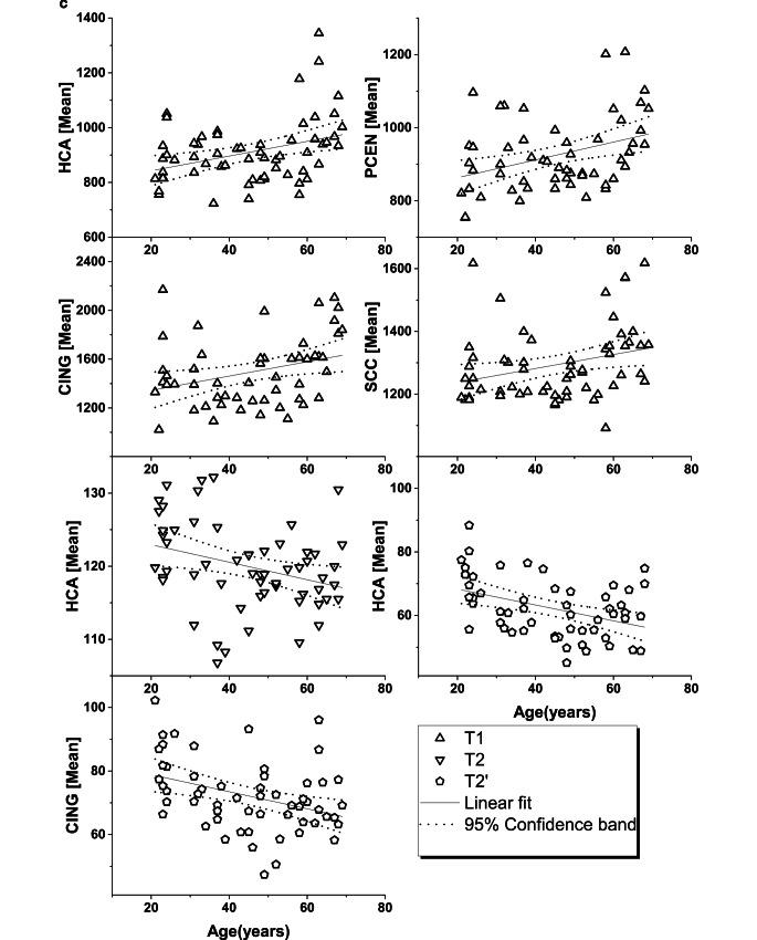
In this study, 60 healthy participants with evenly distributed ages (between 21 and 69 years) and sex underwent MRI examinations at 3T including whole-brain H‑MRSI. The concentrations of the metabolites N‑acetylaspartate (NAA), choline-containing compounds (Cho), total creatine and phosphocreatine (tCr), glutamine and glutamate (Glx), and myo-inositol (mI), as well as the brain relaxation times T2, T2' and T1 were measured in 12 regions of interest (ROI) in each hemisphere. Correlations between measured parameters and age were estimated with linear regression analysis and Pearson's correlation test.

RESULTS

Significant age-related changes of brain regional metabolite concentrations and tissue relaxation times were found: NAA decreased in eight of twelve ROIs, Cho increased in three ROIs, tCr in four ROIs, and mI in three ROIs. Glx displayed a significant decrease in one ROI and an increase in another ROI. T1 increased in four ROIs and T2 in one ROI, while T2' decreased in two ROIs. A negative correlation of tCr concentrations with T2' relaxation time was found in one ROI as well as the positive correlations of age-related T1 relaxation time with concentrations of tCr, mI, Glx and Cho in another ROI.

CONCLUSION

Normal aging in human brain is associated with coexistent brain regional metabolic alterations and microstructural changes, which may be related to age-related decline in cognitive, affective and psychomotor domains of life in the older population.

摘要

目的

本研究旨在通过使用全脑质子磁共振波谱成像(H-MRSI)和定量磁共振成像(qMRI)来检测健康人脑的年龄相关的脑代谢和微观结构变化。

方法

本研究中,60 名健康参与者的年龄(21 至 69 岁)和性别均匀分布,在 3T 磁共振成像仪上进行了包括全脑 H-MRSI 在内的 MRI 检查。在每个半球的 12 个感兴趣区(ROI)中测量了代谢物 N-乙酰天冬氨酸(NAA)、胆碱化合物(Cho)、总肌酸和磷酸肌酸(tCr)、谷氨酰胺和谷氨酸(Glx)以及肌醇(mI)的浓度,以及脑弛豫时间 T2、T2'和 T1。使用线性回归分析和 Pearson 相关检验估计测量参数与年龄之间的相关性。

结果

发现脑区域性代谢物浓度和组织弛豫时间与年龄有显著的相关性变化:在 12 个 ROI 中有 8 个区域的 NAA 减少,3 个区域的 Cho 增加,4 个区域的 tCr 减少,3 个区域的 mI 增加。Glx 在一个 ROI 中减少,在另一个 ROI 中增加。4 个 ROI 的 T1 增加,1 个 ROI 的 T2 增加,而 2 个 ROI 的 T2'减少。在一个 ROI 中发现 tCr 浓度与 T2'弛豫时间呈负相关,而在另一个 ROI 中发现与年龄相关的 T1 弛豫时间与 tCr、mI、Glx 和 Cho 浓度呈正相关。

结论

人类大脑的正常衰老与脑区域性代谢改变和微观结构变化同时发生,这可能与老年人群认知、情感和心理运动领域的年龄相关下降有关。

https://cdn.ncbi.nlm.nih.gov/pmc/blobs/6467/10654209/d0fec15752af/62_2023_1300_Fig1_HTML.jpg

文献AI研究员

20分钟写一篇综述,助力文献阅读效率提升50倍。

立即体验

用中文搜PubMed

大模型驱动的PubMed中文搜索引擎

马上搜索

文档翻译

学术文献翻译模型,支持多种主流文档格式。

立即体验