Suppr超能文献

尿液中基质金属蛋白酶2、7和9对早期结直肠癌的诊断价值

Diagnostic value of matrix metalloproteinases 2, 7 and 9 in urine for early detection of colorectal cancer.

作者信息

Peng Liu, Zhang Xin, Zhang Man-Li, Jiang Tao, Zhang Peng-Jun

机构信息

Key Laboratory of Carcinogenesis and Translational Research (Ministry of Education/Beijing), Department of Interventional Therapy, Peking University Cancer Hospital & Institute, Beijing 100142, China.

Division of Medicine Innovation Research, Chinese PLA General Hospital, Beijing 100853, China.

出版信息

World J Gastrointest Surg. 2023 May 27;15(5):931-939. doi: 10.4240/wjgs.v15.i5.931.

Abstract

BACKGROUND

A noninvasive biomarker with high diagnostic performance is urgently needed for the early diagnosis of colorectal cancer (CRC).

AIM

To evaluate the diagnostic value of matrix metalloproteinases (MMPs) 2, 7 and 9 in urine for CRC.

METHODS

Of 59 healthy controls, 47 patients with colon polyps and 82 patients with CRC were included in this study. Carcinoembryonic antigen (CEA) in serum and MMP2, MMP7, and MMP9 in urine were detected. The combined diagnostic model of the indicators was established by binary logistic regression. The receiver operating characteristic curve (ROC) of the subjects was used to evaluate the independent and combined diagnostic value of the indicators.

RESULTS

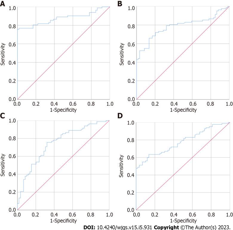
The MMP2, MMP7, MMP9, and CEA levels in the CRC group differed significantly from levels in the healthy controls ( < 0.05). The levels of MMP7, MMP9, and CEA also differed significantly between the CRC group and the colon polyps group ( < 0.05). The area under the curve (AUC) distinguishing between the healthy control and the CRC patients using the joint model with CEA, MMP2, MMP7 and MMP9 was 0.977, and the sensitivity and specificity were 95.10% and 91.50%, respectively. For early-stage CRC, the AUC was 0.975, and the sensitivity and specificity were 94.30% and 98.30%, respectively. For advanced stage CRC, the AUC was 0.979, and the sensitivity and specificity were 95.70% and 91.50%, respectively. Using CEA, MMP7 and MMP9 to jointly established a model distinguishing the colorectal polyp group from the CRC group, the AUC was 0.849, and the sensitivity and specificity were 84.10% and 70.20%, respectively. For early-stage CRC, the AUC was 0.818, and the sensitivity and specificity were 76.30% and 72.30%, respectively. For advanced stage CRC, the AUC was 0.875, and the sensitivity and specificity were 81.80% and 72.30%, respectively.

CONCLUSION

MMP2, MMP7 and MMP 9 may exhibit diagnostic value for the early detection of CRC and may serve as auxiliary diagnostic markers for CRC.

摘要

背景

结直肠癌(CRC)的早期诊断迫切需要一种具有高诊断性能的非侵入性生物标志物。

目的

评估尿液中基质金属蛋白酶(MMPs)2、7和9对CRC的诊断价值。

方法

本研究纳入59名健康对照者、47名结肠息肉患者和82名CRC患者。检测血清中的癌胚抗原(CEA)以及尿液中的MMP2、MMP7和MMP9。通过二元逻辑回归建立指标的联合诊断模型。采用受试者工作特征曲线(ROC)评估各指标的独立诊断价值和联合诊断价值。

结果

CRC组的MMP2、MMP7、MMP9和CEA水平与健康对照组相比差异有统计学意义(<0.05)。CRC组与结肠息肉组之间的MMP7、MMP9和CEA水平也有显著差异(<0.05)。使用CEA、MMP2、MMP7和MMP9的联合模型区分健康对照者和CRC患者时,曲线下面积(AUC)为0.977,敏感性和特异性分别为95.10%和91.50%。对于早期CRC,AUC为0.975,敏感性和特异性分别为94.30%和98.30%。对于晚期CRC,AUC为0.979,敏感性和特异性分别为95.70%和91.50%。使用CEA、MMP7和MMP9联合建立区分结肠息肉组和CRC组的模型,AUC为0.849,敏感性和特异性分别为84.10%和70.20%。对于早期CRC,AUC为0.818,敏感性和特异性分别为76.30%和72.30%。对于晚期CRC,AUC为0.875,敏感性和特异性分别为81.80%和72.30%。

结论

MMP2、MMP7和MMP9可能对CRC的早期检测具有诊断价值,可作为CRC的辅助诊断标志物。

https://cdn.ncbi.nlm.nih.gov/pmc/blobs/2e3a/10277948/fe9582a63f4a/WJGS-15-931-g001.jpg

文献AI研究员

20分钟写一篇综述,助力文献阅读效率提升50倍。

立即体验

用中文搜PubMed

大模型驱动的PubMed中文搜索引擎

马上搜索

文档翻译

学术文献翻译模型,支持多种主流文档格式。

立即体验