Suppr超能文献

白细胞指标(淋巴细胞和嗜酸性粒细胞)对经皮冠状动脉介入治疗后急性冠状动脉综合征患者心力衰竭的预测价值:一项前瞻性队列研究。

The Predictive Values of White Blood Cell Indices (Lymphocyte and Eosinophilic Granulocyte) for Heart Failure in Acute Coronary Syndrome Patients Following Percutaneous Coronary Intervention: A Prospective Cohort Study.

机构信息

Department of Ultrasound, Clinical Medical College, First Affiliated Hospital of Chengdu Medical College, Chengdu, People's Republic of China.

Department of Cardiovascular Medicine, First Affiliated Hospital of Xi'an Jiaotong University, Xi'an, People's Republic of China.

出版信息

Clin Interv Aging. 2023 Jun 17;18:951-962. doi: 10.2147/CIA.S413313. eCollection 2023.

Abstract

BACKGROUND

White blood cell (WBC) indices are strongly associated with cardiovascular disease, but data on the prognostic values of these parameters in patients with acute coronary syndrome (ACS) following percutaneous coronary intervention (PCI) are sparse. The current study aimed to investigate the relationship between baseline WBC indices levels and the incidence of heart failure (HF) in ACS patients after PCI and explore the predictive values over a 2-year follow-up period.

METHODS

A total of 416 consecutive ACS patients treated with PCI were enrolled and received a median of 27.7 months follow-up. Univariate and multivariate Cox regression analyses and the receiver operating characteristic (ROC) curves were performed.

RESULTS

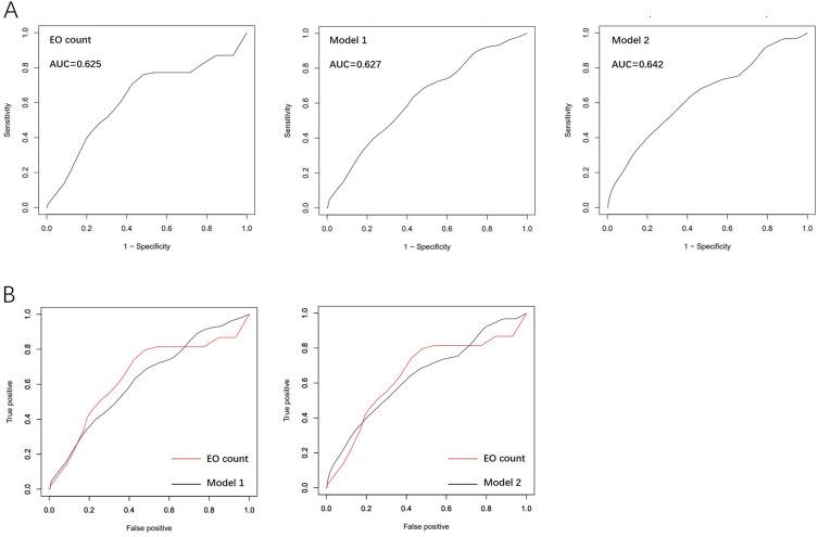
Baseline lymphocyte (LYMPH) count, eosinophil (EO) count and eosinophil percentage (EO %) were higher in patients who experienced HF over a 2-year follow-up. In multivariate Cox proportional hazards analysis, LYMPH count, EO count and EO % were independently associated with the occurrence of HF (hazard ratio [HR] = 12.876, = 0.025; HR = 16.625, = 0.004; HR = 1.196, = 0.031, respectively). The area under the ROC curve of baseline EO count predicting the occurrence of HF in ACS patients following PCI was 0.625 ( = 0.037). For patients aged 60 years and above, who had PCI or history of coronary artery bypass grafting, the higher EO count, the higher the risk of HF.

CONCLUSION

Elevated baseline LYMPH count, EO count and EO % were independently associated with the incidence of HF in ACS patients following PCI, suggesting that WBC indices might be available, simple, and cost-efficient biomarkers with predictive value, especially for patients aged more than 60 years.

摘要

背景

白细胞(WBC)指标与心血管疾病密切相关,但关于经皮冠状动脉介入治疗(PCI)后急性冠状动脉综合征(ACS)患者这些参数的预后价值的数据很少。本研究旨在探讨 ACS 患者 PCI 后基线 WBC 指数与心力衰竭(HF)发生率之间的关系,并探讨其在 2 年随访期间的预测价值。

方法

共纳入 416 例接受 PCI 治疗的连续 ACS 患者,中位随访 27.7 个月。进行单因素和多因素 Cox 回归分析和受试者工作特征(ROC)曲线。

结果

在 2 年随访期间发生 HF 的患者的基线淋巴细胞(LYMPH)计数、嗜酸性粒细胞(EO)计数和嗜酸性粒细胞百分比(EO%)较高。多因素 Cox 比例风险分析显示,LYMPH 计数、EO 计数和 EO%与 HF 的发生独立相关(风险比[HR] = 12.876, = 0.025;HR = 16.625, = 0.004;HR = 1.196, = 0.031)。基线 EO 计数预测 ACS 患者 PCI 后 HF 发生的 ROC 曲线下面积为 0.625( = 0.037)。对于年龄 60 岁及以上、有 PCI 或冠状动脉旁路移植术史的患者,EO 计数越高,HF 的风险越高。

结论

基线 LYMPH 计数、EO 计数和 EO%升高与 ACS 患者 PCI 后 HF 的发生率独立相关,提示 WBC 指数可能是一种具有预测价值的简单、经济的生物标志物,尤其是对于年龄大于 60 岁的患者。

https://cdn.ncbi.nlm.nih.gov/pmc/blobs/6b74/10284297/d29018a0b353/CIA-18-951-g0001.jpg

文献AI研究员

20分钟写一篇综述,助力文献阅读效率提升50倍。

立即体验

用中文搜PubMed

大模型驱动的PubMed中文搜索引擎

马上搜索

文档翻译

学术文献翻译模型,支持多种主流文档格式。

立即体验