Suppr超能文献

头颈部鳞状细胞癌患者使用正电子发射断层扫描放射组学进行预后预测的预测和预后模型的系统评价和荟萃分析。

A systematic review and meta-analysis of predictive and prognostic models for outcome prediction using positron emission tomography radiomics in head and neck squamous cell carcinoma patients.

机构信息

Institute of Applied Health Sciences, University of Aberdeen, Aberdeen, UK.

Institute of Education in Healthcare and Medical Sciences, University of Aberdeen, Aberdeen, UK.

出版信息

Cancer Med. 2023 Aug;12(15):16181-16194. doi: 10.1002/cam4.6278. Epub 2023 Jun 24.

Abstract

BACKGROUND

Positron emission tomography (PET) images of head and neck squamous cell carcinoma (HNSCC) patients can assess the functional and biochemical processes at cellular levels. Therefore, PET radiomics-based prediction and prognostic models have the potentials to understand tumour heterogeneity and assist clinicians with diagnosis, prognosis and management of the disease. We conducted a systematic review of published modelling information to evaluate the usefulness of PET radiomics in the prediction and prognosis of HNSCC patients.

METHODS

We searched bibliographic databases (MEDLINE, Embase, Web of Science) from 2010 to 2021 and considered 31 studies with pre-defined inclusion criteria. We followed the CHARMS checklist for data extraction and performed quality assessment using the PROBAST tool. We conducted a meta-analysis to estimate the accuracy of the prediction and prognostic models using the diagnostic odds ratio (DOR) and average C-statistic, respectively.

RESULTS

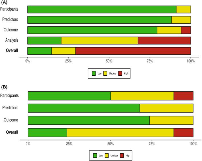
Manual segmentation method followed by 40% of the maximum standardised uptake value (SUV ) thresholding is a commonly used approach. The area under the receiver operating curves of externally validated prediction models ranged between 0.60-0.87, 0.65-0.86 and 0.62-0.75 for overall survival, distant metastasis and recurrence, respectively. Most studies highlighted an overall high risk of bias (outcome definition, statistical methodologies and external validation of models) and high unclear concern in terms of applicability. The meta-analysis showed the estimated pooled DOR of 6.75 (95% CI: 4.45, 10.23) for prediction models and the C-statistic of 0.71 (95% CI: 0.67, 0.74) for prognostic models.

CONCLUSIONS

Both prediction and prognostic models using clinical variables and PET radiomics demonstrated reliable accuracy for detecting adverse outcomes in HNSCC, suggesting the prospect of PET radiomics in clinical settings for diagnosis, prognosis and management of HNSCC patients. Future studies of prediction and prognostic models should emphasise the quality of reporting, external model validation, generalisability to real clinical scenarios and enhanced reproducibility of results.

摘要

背景

正电子发射断层扫描(PET)图像可评估头颈部鳞状细胞癌(HNSCC)患者的细胞水平的功能和生化过程。因此,基于 PET 放射组学的预测和预后模型具有理解肿瘤异质性的潜力,并有助于临床医生对疾病进行诊断、预后和管理。我们系统地回顾了已发表的建模信息,以评估 PET 放射组学对头颈部鳞状细胞癌患者预测和预后的作用。

方法

我们从 2010 年至 2021 年检索了文献数据库(MEDLINE、Embase、Web of Science),并考虑了 31 项符合预定义纳入标准的研究。我们按照 CHARMS 清单提取数据,并使用 PROBAST 工具进行质量评估。我们通过诊断比值比(DOR)和平均 C 统计量分别对预测和预后模型的准确性进行了荟萃分析。

结果

最常使用的方法是手动分割后采用 40%最大标准化摄取值(SUV)阈值法。外部验证预测模型的受试者工作特征曲线下面积(AUC)分别为 0.60-0.87、0.65-0.86 和 0.62-0.75,用于总体生存、远处转移和复发。大多数研究强调存在高偏倚风险(结局定义、统计方法学和模型的外部验证)和高适用性不确定。荟萃分析显示,预测模型的估计合并 DOR 为 6.75(95%CI:4.45,10.23),预后模型的 C 统计量为 0.71(95%CI:0.67,0.74)。

结论

基于临床变量和 PET 放射组学的预测和预后模型均能可靠地检测出 HNSCC 的不良结局,表明 PET 放射组学在临床环境中具有用于诊断、预后和管理 HNSCC 患者的前景。未来的预测和预后模型研究应强调报告质量、外部模型验证、真实临床情景的通用性和结果的可重复性。

https://cdn.ncbi.nlm.nih.gov/pmc/blobs/06f0/10469753/5b73cbb76538/CAM4-12-16181-g002.jpg

文献AI研究员

20分钟写一篇综述,助力文献阅读效率提升50倍。

立即体验

用中文搜PubMed

大模型驱动的PubMed中文搜索引擎

马上搜索

文档翻译

学术文献翻译模型,支持多种主流文档格式。

立即体验