Suppr超能文献

基于钆塞酸二钠增强 MRI 的非酒精性脂肪性肝病患者的组织学、影像学和人工智能特征的相关性:一项概念验证研究。

Correlation of histologic, imaging, and artificial intelligence features in NAFLD patients, derived from Gd-EOB-DTPA-enhanced MRI: a proof-of-concept study.

机构信息

Department of Biomedical Imaging and Image-Guided Therapy, Medical University of Vienna, Vienna, Austria.

Computational Imaging Research Lab, Department of Biomedical Imaging and Image-Guided Therapy, Medical University of Vienna, Vienna, Austria.

出版信息

Eur Radiol. 2023 Nov;33(11):7729-7743. doi: 10.1007/s00330-023-09735-5. Epub 2023 Jun 26.

Abstract

OBJECTIVE

To compare unsupervised deep clustering (UDC) to fat fraction (FF) and relative liver enhancement (RLE) on Gd-EOB-DTPA-enhanced MRI to distinguish simple steatosis from non-alcoholic steatohepatitis (NASH), using histology as the gold standard.

MATERIALS AND METHODS

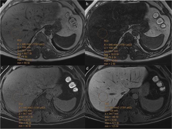
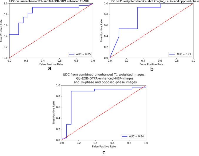
A derivation group of 46 non-alcoholic fatty liver disease (NAFLD) patients underwent 3-T MRI. Histology assessed steatosis, inflammation, ballooning, and fibrosis. UDC was trained to group different texture patterns from MR data into 10 distinct clusters per sequence on unenhanced T1- and Gd-EOB-DTPA-enhanced T1-weighted hepatobiliary phase (T1-Gd-EOB-DTPA-HBP), then on T1 in- and opposed-phase images. RLE and FF were quantified on identical sequences. Differences of these parameters between NASH and simple steatosis were evaluated with χ- and t-tests, respectively. Linear regression and Random Forest classifier were performed to identify associations between histological NAFLD features, RLE, FF, and UDC patterns, and then determine predictors able to distinguish simple steatosis from NASH. ROC curves assessed diagnostic performance of UDC, RLE, and FF. Finally, we tested these parameters on 30 validation cohorts.

RESULTS

For the derivation group, UDC-derived features from unenhanced and T1-Gd-EOB-DTPA-HBP, plus from T1 in- and opposed-phase, distinguished NASH from simple steatosis (p ≤ 0.001 and p = 0.02, respectively) with 85% and 80% accuracy, respectively, while RLE and FF distinguished NASH from simple steatosis (p ≤ 0.001 and p = 0.004, respectively), with 83% and 78% accuracy, respectively. On multivariate regression analysis, RLE and FF correlated only with fibrosis (p = 0.040) and steatosis (p ≤ 0.001), respectively. Conversely, UDC features, using Random Forest classifier predictors, correlated with all histologic NAFLD components. The validation group confirmed these results for both approaches.

CONCLUSION

UDC, RLE, and FF could independently separate NASH from simple steatosis. UDC may predict all histologic NAFLD components.

CLINICAL RELEVANCE STATEMENT

Using gadoxetic acid-enhanced MR, fat fraction (FF > 5%) can diagnose NAFLD, and relative liver enhancement can distinguish NASH from simple steatosis. Adding AI may let us non-invasively estimate the histologic components, i.e., fat, ballooning, inflammation, and fibrosis, the latter the main prognosticator.

KEY POINTS

• Unsupervised deep clustering (UDC) and MR-based parameters (FF and RLE) could independently distinguish simple steatosis from NASH in the derivation group. • On multivariate analysis, RLE could predict only fibrosis, and FF could predict only steatosis; however, UDC could predict all histologic NAFLD components in the derivation group. • The validation cohort confirmed the findings for the derivation group.

摘要

目的

使用钆塞酸二钠增强 MRI 的无监督深度聚类(UDC)与脂肪分数(FF)和相对肝增强(RLE)比较,以组织学为金标准,区分单纯性脂肪变性与非酒精性脂肪性肝炎(NASH)。

材料与方法

对 46 名非酒精性脂肪性肝病(NAFLD)患者进行 3-T MRI 检查。组织学评估脂肪变性、炎症、气球样变和纤维化。UDC 用于对未增强 T1 加权和 Gd-EOB-DTPA 增强 T1 期肝胆期(T1-Gd-EOB-DTPA-HBP)的 MR 数据中的不同纹理模式进行分组,然后对 T1 同相位和反相位图像进行分组。在相同的序列上量化 RLE 和 FF。使用 χ 和 t 检验分别评估这些参数在 NASH 和单纯性脂肪变性之间的差异。进行线性回归和随机森林分类器分析,以确定组织学 NAFLD 特征、RLE、FF 和 UDC 模式之间的关联,然后确定能够区分单纯性脂肪变性和 NASH 的预测因子。ROC 曲线评估 UDC、RLE 和 FF 的诊断性能。最后,我们在 30 个验证队列中测试了这些参数。

结果

在推导组中,来自未增强和 T1-Gd-EOB-DTPA-HBP 的 UDC 衍生特征,加上 T1 同相位和反相位的 UDC 衍生特征,可区分 NASH 与单纯性脂肪变性(p≤0.001 和 p=0.02),准确性分别为 85%和 80%,而 RLE 和 FF 可区分 NASH 与单纯性脂肪变性(p≤0.001 和 p=0.004),准确性分别为 83%和 78%。多元回归分析显示,RLE 和 FF 仅与纤维化(p=0.040)和脂肪变性(p≤0.001)相关。相反,UDC 特征,使用随机森林分类器预测因子,与所有组织学 NAFLD 成分相关。验证组对这两种方法均证实了这些结果。

结论

UDC、RLE 和 FF 可独立区分 NASH 与单纯性脂肪变性。UDC 可能预测所有组织学 NAFLD 成分。

临床相关性

使用钆塞酸增强 MRI,脂肪分数(FF>5%)可诊断 NAFLD,相对肝增强可区分 NASH 与单纯性脂肪变性。添加 AI 可能使我们能够无创性估计组织学成分,即脂肪、气球样变、炎症和纤维化,后者是主要的预后因素。

https://cdn.ncbi.nlm.nih.gov/pmc/blobs/6de6/10598123/18cac68a7a45/330_2023_9735_Fig1_HTML.jpg

文献AI研究员

20分钟写一篇综述,助力文献阅读效率提升50倍。

立即体验

用中文搜PubMed

大模型驱动的PubMed中文搜索引擎

马上搜索

文档翻译

学术文献翻译模型,支持多种主流文档格式。

立即体验