Suppr超能文献

丛枝菌根真菌对生长在重金属污染土壤上的番茄的影响。 (注:原文中“L.”推测可能是“番茄(Lycopersicon esculentum)”之类的,但这里按照一般准确翻译要求并结合整体来进行了补充完善,实际翻译时需根据具体原文准确信息调整)

Effects of Arbuscular Mycorrhizal Fungi on L. Growing on Soils Contaminated with Heavy Metals.

作者信息

Zhao Liuhui, Yang Tao, Zhou Jinxing, Peng Xiawei

机构信息

School of Civil Engineering, Southwest Jiaotong University, Chengdu 610031, China.

China Railway First Survey & Design Institute Group Co., Ltd., Xi'an 710043, China.

出版信息

J Fungi (Basel). 2023 Jun 19;9(6):684. doi: 10.3390/jof9060684.

Abstract

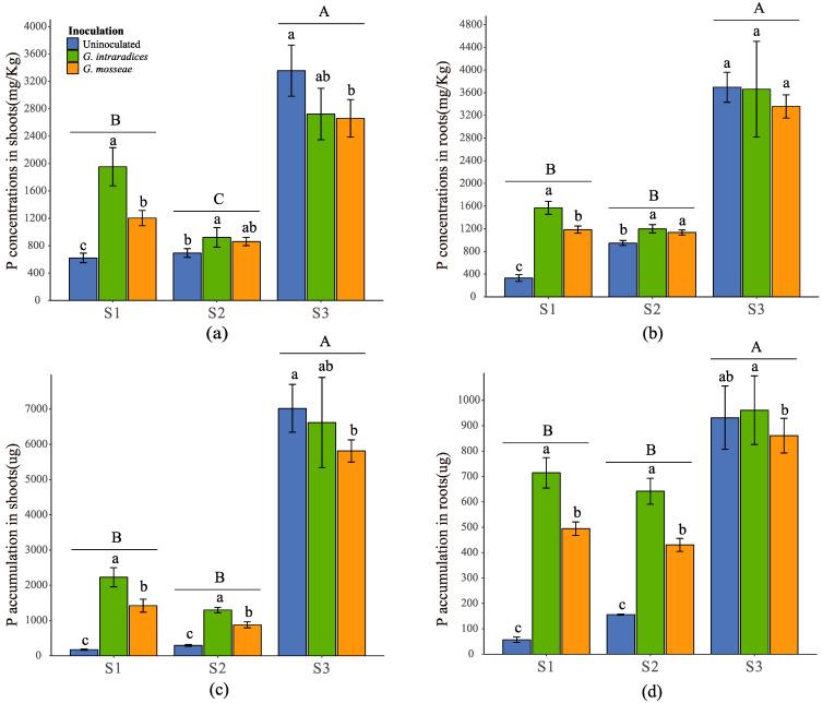
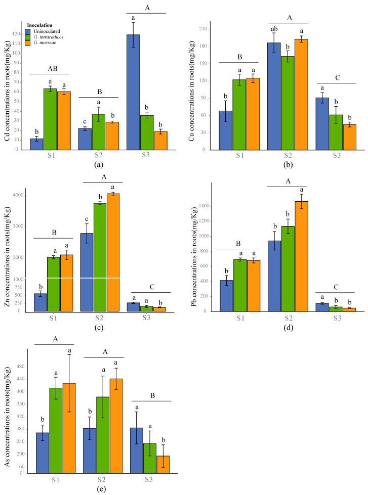
Arbuscular mycorrhizal fungi (AMF) have been shown to assist plants in increasing metal tolerance and accumulation in heavy metal (HM)-contaminated soils. Herein, a greenhouse pot experiment was conducted to assess the interactions of growth substrates (S1, S2, and S3, respectively) with various HM contamination and nutrient status sampling from a typical contaminated soil and tailings in Shuikoushan lead/zinc mining in Hunan province, China, and AMF inoculation obtained from plants in uncontaminated areas (, and uninoculated, respectively) on the biomass and uptake of HMs and phosphorus (P) by the black locust plant ( L.). The results indicated that the inoculation with AMF significantly enhanced the mycorrhizal colonization of plant roots compared with the uninoculated treatments, and the colonization rates were found to be higher in S1 and S2 compared with S3, which were characterized with a higher nutrient availability and lead concentration. The biomass and heights of were significantly increased by AMF inoculation in S1 and S2. Furthermore, AMF significantly increased the HM concentrations of the roots in S1 and S2 but decreased the HM concentrations in S3. Shoot HM concentrations varied in response to different AMF species and substrate types. Mycorrhizal colonization was found to be highly correlated with plant P concentrations and biomass in S1 and S2, but not in S3. Moreover, plant biomass was also significantly correlated with plant P concentrations in S1 and S2. Overall, these findings demonstrate the interactions of AMF inoculation and growth substrates on the phytoremediation potential of and highlights the need to select optimal AMF isolates for their use in specific substrates for the remediation of HM-contaminated soil.

摘要

丛枝菌根真菌(AMF)已被证明能帮助植物在重金属(HM)污染土壤中提高对金属的耐受性和积累量。在此,进行了一项温室盆栽试验,以评估分别取自中国湖南省水口山铅锌矿典型污染土壤和尾矿的不同HM污染和养分状况的生长基质(分别为S1、S2和S3),以及从未受污染地区植物获得的AMF接种物(分别为、和未接种)对刺槐(L.)生物量以及对HM和磷(P)吸收的影响。结果表明,与未接种处理相比,接种AMF显著提高了植物根系的菌根定殖率,且发现S1和S2中的定殖率高于S3,S1和S2的特点是养分有效性和铅浓度较高。在S1和S2中,接种AMF显著增加了刺槐的生物量和高度。此外,AMF显著增加了S1和S2中根系的HM浓度,但降低了S3中根系的HM浓度。地上部分HM浓度因不同的AMF种类和基质类型而有所不同。在S1和S2中,发现菌根定殖与植物P浓度和生物量高度相关,但在S3中并非如此。此外,在S1和S2中,植物生物量也与植物P浓度显著相关。总体而言,这些发现证明了AMF接种和生长基质对刺槐植物修复潜力的相互作用,并强调了需要选择最佳的AMF分离株用于特定基质中以修复HM污染土壤。

https://cdn.ncbi.nlm.nih.gov/pmc/blobs/a59c/10301184/0c513b1a8ad9/jof-09-00684-g001.jpg

文献AI研究员

20分钟写一篇综述,助力文献阅读效率提升50倍。

立即体验

用中文搜PubMed

大模型驱动的PubMed中文搜索引擎

马上搜索

文档翻译

学术文献翻译模型,支持多种主流文档格式。

立即体验