Suppr超能文献

老年局部晚期食管鳞癌患者接受根治性放化疗或单纯放疗的术前营养风险因素的预后价值。

Prognostic value of pre-therapeutic nutritional risk factors in elderly patients with locally advanced esophageal squamous cell carcinoma receiving definitive chemoradiotherapy or radiotherapy.

机构信息

Clinical Oncology School of Fujian Medical University, Fujian Cancer Hospital, Fuzhou, 350014, China.

出版信息

BMC Cancer. 2023 Jun 28;23(1):597. doi: 10.1186/s12885-023-11044-5.

Abstract

BACKGROUND

The nutritional status of cancer patients is a crucial factor in determining their prognosis. The objective of this study was to investigate and compare the prognostic value of pretreatment nutrition-related indicators in elderly esophageal squamous cell carcinoma (ESCC). Risk stratification was performed according to independent risk factors and a new nutritional prognostic index was constructed.

METHODS

We retrospectively reviewed 460 older locally advanced ESCC patients receiving definitive chemoradiotherapy (dCRT) or radiotherapy (dRT). This study included five pre- therapeutic nutrition-related indicators. The optimal cut-off values for these indices were calculated from the Receiver Operating Curve (ROC). Univariate and multivariate COX analyses were employed to determine the association between each indicator and clinical outcomes. The predictive ability of each independently nutrition-related prognostic indicator was assessed using the time-dependent ROC (time-ROC) and C-index.

RESULTS

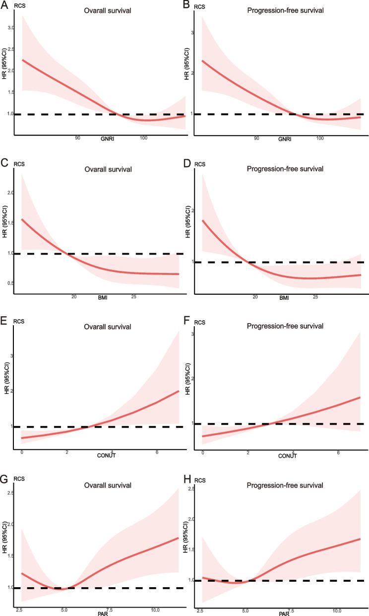
Multivariate analyses indicated that the geriatric nutrition risk index (GNRI), body mass index (BMI), the controlling nutritional status (CONUT) score, and platelet-albumin ratio (PAR) could independently predict overall survival (OS) and progression-free survival (PFS) in elderly patients with ESCC (all p < 0.05), except for prognostic nutritional index (PNI). Based on four independently nutrition-related prognostic indicators, we developed pre-therapeutic nutritional prognostic score (PTNPS) and new nutritional prognostic index (NNPI). No-risk (PTNPS = 0-1 point), moderate-risk (PTNPS = 2 points), and high-risk (PTNPS = 3-4 points) groups had 5-year OS rates of 42.3%, 22.9%, and 8.8%, respectively (p < 0.001), and 5-year PFS rates of 44.4%, 26.5%, and 11.3%, respectively (p < 0.001). The Kaplan-Meier curves showed that the mortality of elderly ESCC patients in the high-risk group was higher than that in the low-risk group according to the NNPI. Analysis of time-AUC and C-index revealed that the NNPI (C-index: 0.663) had the greatest predictive power on the prognosis in older ESCC patients.

CONCLUSIONS

In elderly ESCC patients, the GNRI, BMI, CONUT score, and PAR can be used as objective assessment measures for the risk of nutrition-related death. Compared to the other four indexes, the NNPI has the greatest prognostic value for prognosis, and elderly patients with a higher nutritional risk have a poor prognosis, which is helpful in guiding early clinical nutrition intervention.

摘要

背景

癌症患者的营养状况是决定其预后的关键因素。本研究旨在探讨和比较老年人食管鳞癌(ESCC)患者治疗前营养相关指标的预后价值,并根据独立风险因素进行风险分层,构建新的营养预后指数。

方法

回顾性分析了 460 例接受根治性放化疗(dCRT)或单纯放疗(dRT)的局部晚期老年 ESCC 患者。本研究纳入了 5 项治疗前营养相关指标,采用受试者工作特征曲线(ROC)计算各指标的最佳截断值。采用单因素和多因素 COX 分析确定各指标与临床结局的关系。采用时间依赖性 ROC(time-ROC)和 C 指数评估各独立营养相关预后指标的预测能力。

结果

多因素分析表明,老年营养风险指数(GNRI)、体重指数(BMI)、控制营养状况(CONUT)评分和血小板-白蛋白比值(PAR)可独立预测老年 ESCC 患者的总生存(OS)和无进展生存(PFS)(均 P<0.05),除预后营养指数(PNI)外。基于 4 项独立的营养相关预后指标,我们建立了治疗前营养预后评分(PTNPS)和新的营养预后指数(NNPI)。无风险(PTNPS=0-1 分)、中度风险(PTNPS=2 分)和高风险(PTNPS=3-4 分)组的 5 年 OS 率分别为 42.3%、22.9%和 8.8%(p<0.001),5 年 PFS 率分别为 44.4%、26.5%和 11.3%(p<0.001)。Kaplan-Meier 曲线显示,根据 NNPI,老年 ESCC 患者高风险组的死亡率高于低风险组。时间-AUC 和 C 指数分析表明,NNPI(C 指数:0.663)对老年 ESCC 患者预后的预测能力最强。

结论

在老年 ESCC 患者中,GNRI、BMI、CONUT 评分和 PAR 可作为与营养相关死亡风险的客观评估指标。与其他 4 项指标相比,NNPI 对预后的预后价值最大,营养风险较高的老年患者预后较差,有助于指导早期临床营养干预。

https://cdn.ncbi.nlm.nih.gov/pmc/blobs/6833/10303855/a843429cb1bc/12885_2023_11044_Fig1_HTML.jpg

文献AI研究员

20分钟写一篇综述,助力文献阅读效率提升50倍。

立即体验

用中文搜PubMed

大模型驱动的PubMed中文搜索引擎

马上搜索

文档翻译

学术文献翻译模型,支持多种主流文档格式。

立即体验