Suppr超能文献

一种新型的与铜死亡相关的诊断基因特征及其在动脉粥样硬化中的差异表达验证

A novel cuproptosis-related diagnostic gene signature and differential expression validation in atherosclerosis.

作者信息

Cui Yuting, Chen Yanyu, Gan Ni, Li Man, Liao Wei, Zhou Yating, Xiang Qiong, Gong Xi, Guo Qianqian, Hu Pengwei, Zheng Xi-Long, Shang Desi, Peng Juan, Tang Zhihan

机构信息

Institute of Cardiovascular Disease, Key Laboratory for Arteriosclerology of Hunan Province, Hunan International Scientific and Technological Cooperation Base of Arteriosclerotic Disease, School of Basic Medical Sciences, Hengyang Medical School, University of South China, Hengyang, 421001, China.

Hengyang Medical School, The Affiliated Changsha Central Hospital, University of South China, Hengyang, Hunan, 421001, China.

出版信息

Mol Biomed. 2023 Jul 14;4(1):21. doi: 10.1186/s43556-023-00131-5.

Abstract

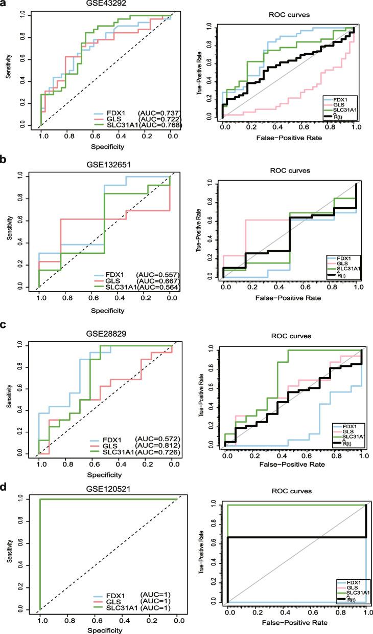
Atherosclerosis (AS) is a major contributor to morbidity and mortality worldwide. However, the molecular mechanisms and mediator molecules involved remain largely unknown. Copper, which plays an essential role in cardiovascular disease, has been suggested as a potential risk factor. Copper homeostasis is closely related to the occurrence and development of AS. Recently, a new cell death pathway called cuproptosis has been discovered, which is driven by intracellular copper excess. However, no previous studies have reported a relationship between cuproptosis and AS. In this study, we integrated bulk and single-cell sequencing data to screen and identify key cuproptosis-related genes in AS. We used correlation analysis, enrichment analysis, random forest, and other bioinformatics methods to reveal their relationships. Our findings report, for the first time, the involvement of cuproptosis-related genes FDX1, SLC31A1, and GLS in atherogenesis. FDX1 and SLC31A1 were upregulated, while GLS was downregulated in atherosclerotic plaque. Receiver operating characteristic curves demonstrate their potential diagnostic value for AS. Additionally, we confirm that GLS is mainly expressed in vascular smooth muscle cells, and SLC31A1 is mainly localized in macrophages of atherosclerotic lesions in experiments. These findings shed light on the cuproptosis landscape and potential diagnostic biomarkers for AS, providing further evidence about the vital role of cuproptosis in atherosclerosis progression.

摘要

动脉粥样硬化(AS)是全球发病和死亡的主要原因。然而,其涉及的分子机制和介导分子在很大程度上仍不清楚。铜在心血管疾病中起着至关重要的作用,已被认为是一种潜在的危险因素。铜稳态与AS的发生和发展密切相关。最近,一种名为铜死亡的新细胞死亡途径被发现,它由细胞内铜过量驱动。然而,以前没有研究报道过铜死亡与AS之间的关系。在本研究中,我们整合了批量和单细胞测序数据,以筛选和鉴定AS中关键的铜死亡相关基因。我们使用相关性分析、富集分析、随机森林和其他生物信息学方法来揭示它们之间的关系。我们的研究结果首次报道了铜死亡相关基因FDX1、SLC31A1和GLS参与动脉粥样硬化的发生。在动脉粥样硬化斑块中,FDX1和SLC31A1上调,而GLS下调。受试者工作特征曲线证明了它们对AS的潜在诊断价值。此外,我们在实验中证实GLS主要在血管平滑肌细胞中表达,而SLC31A1主要定位于动脉粥样硬化病变的巨噬细胞中。这些发现揭示了铜死亡的全貌以及AS的潜在诊断生物标志物,为铜死亡在动脉粥样硬化进展中的重要作用提供了进一步的证据。

https://cdn.ncbi.nlm.nih.gov/pmc/blobs/a1d4/10344858/3aae72467f11/43556_2023_131_Fig1_HTML.jpg

文献AI研究员

20分钟写一篇综述,助力文献阅读效率提升50倍。

立即体验

用中文搜PubMed

大模型驱动的PubMed中文搜索引擎

马上搜索

文档翻译

学术文献翻译模型,支持多种主流文档格式。

立即体验