Suppr超能文献

基于氧化钴复合材料的最新进展:甲烷燃烧中的合成与应用

Recent Advances in CoO-Based Composites: Synthesis and Application in Combustion of Methane.

作者信息

Wei Xinfang, Kang Jiawei, Gan Lin, Wang Wei, Yang Lin, Wang Dijia, Zhong Ruixia, Qi Jian

机构信息

Key Laboratory of Dielectric and Electrolyte Functional Material Hebei Province, Northeastern University at Qinhuangdao, Qinhuangdao 066004, China.

State Key Laboratory of Biochemical Engineering, Institute of Process Engineering, Chinese Academy of Sciences, Beijing 100190, China.

出版信息

Nanomaterials (Basel). 2023 Jun 23;13(13):1917. doi: 10.3390/nano13131917.

Abstract

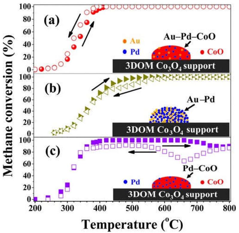
In recent years, it has been found that adjusting the organizational structure of CoO through solid solution and other methods can effectively improve its catalytic performance for the oxidation of low concentration methane. Its catalytic activity is close to that of metal Pd, which is expected to replace costly noble metal catalysts. Therefore, the in-depth research on the mechanism and methods of CoO microstructure regulation has very important academic value and economic benefits. In this paper, we reviewed the catalytic oxidation mechanism, microstructure regulation mechanism, and methods of nano-CoO on methane gas, which provides reference for the development of high-activity CoO-based methane combustion catalysts. Through literature investigation, it is found that the surface energy state of nano-CoO can be adjusted by loading of noble metals, resulting in the reduction of Co-O bond strength, thus accelerating the formation of reactive oxygen species chemical bonds, and improving its catalytic effect. Secondly, the use of metal oxides and non-metallic oxide carriers helps to disperse and stabilize cobalt ions, improve the structural elasticity of CoO, and ultimately improve its catalytic performance. In addition, the performance of the catalyst can be improved by adjusting the microstructure of the composite catalyst and optimizing the preparation process. In this review, we summarize the catalytic mechanism and microstructure regulation of nano-CoO and its composite catalysts (embedded with noble metals or combined with metallic and nonmetallic oxides) for methane combustion. Notably, this review delves into the substance of measures that can be used to improve the catalytic performance of CoO, highlighting the constructive role of components in composite catalysts that can improve the catalytic capacity of CoO. Firstly, the research status of CoO composite catalyst is reviewed in this paper. It is hoped that relevant researchers can get inspiration from this paper and develop high-activity CoO-based methane combustion catalyst.

摘要

近年来,人们发现通过固溶等方法调整CoO的组织结构能够有效提高其对低浓度甲烷氧化的催化性能。其催化活性接近金属Pd,有望替代昂贵的贵金属催化剂。因此,深入研究CoO微观结构调控的机理和方法具有十分重要的学术价值和经济效益。本文综述了纳米CoO对甲烷气体的催化氧化机理、微观结构调控机理及方法,为开发高活性的CoO基甲烷燃烧催化剂提供参考。通过文献调研发现,负载贵金属可调节纳米CoO的表面能态,降低Co—O键强度,从而加速活性氧物种化学键的形成,提高其催化效果。其次,使用金属氧化物和非金属氧化物载体有助于钴离子的分散和稳定,提高CoO的结构弹性,最终提高其催化性能。此外,通过调整复合催化剂的微观结构和优化制备工艺可提高催化剂性能。在本综述中,我们总结了纳米CoO及其复合催化剂(负载贵金属或与金属和非金属氧化物复合)对甲烷燃烧的催化机理和微观结构调控。值得注意的是,本综述深入探讨了可用于提高CoO催化性能的措施的实质,突出了复合催化剂中能够提高CoO催化能力的组分的建设性作用。首先,本文综述了CoO复合催化剂的研究现状。希望相关研究人员能从本文中获得启发,开发出高活性的CoO基甲烷燃烧催化剂。

https://cdn.ncbi.nlm.nih.gov/pmc/blobs/be54/10343635/46d0cd5c2231/nanomaterials-13-01917-g001.jpg

文献AI研究员

20分钟写一篇综述,助力文献阅读效率提升50倍。

立即体验

用中文搜PubMed

大模型驱动的PubMed中文搜索引擎

马上搜索

文档翻译

学术文献翻译模型,支持多种主流文档格式。

立即体验