Suppr超能文献

通过1,5-二烯的区域选择性串联磺酰化环化反应实现光氧化还原催化合成3-磺酰化吡咯啉-2-酮

Photoredox-Catalyzed Synthesis of 3-Sulfonylated Pyrrolin-2-ones via a Regioselective Tandem Sulfonylation Cyclization of 1,5-Dienes.

作者信息

Ding Ran, Li Liang, Yu Ya-Ting, Zhang Bing, Wang Pei-Long

机构信息

College of Chemistry and Materials Engineering, Anhui Science and Technology University, Bengbu 233100, China.

Key Laboratory of Green and Precise Synthetic Chemistry and Applications, Ministry of Education, School of Chemistry and Materials Science, Huaibei Normal University, Huaibei 235000, China.

出版信息

Molecules. 2023 Jul 17;28(14):5473. doi: 10.3390/molecules28145473.

Abstract

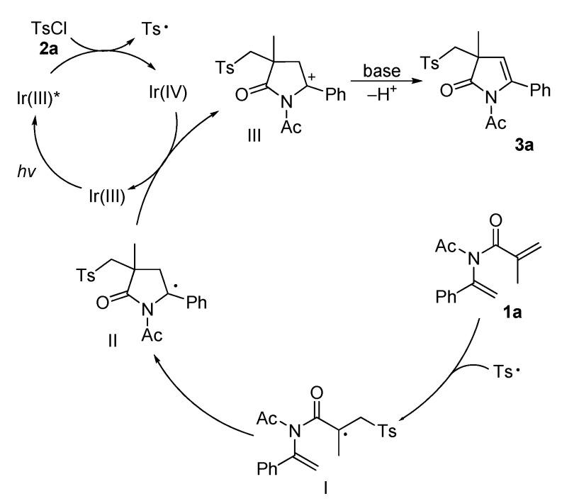
A mild, visible-light-induced, regioselective cascade sulfonylation-cyclization of 1,5-dienes with sulfonyl chlorides through the intermolecular radical addition/cyclization of alkenes C(sp)-H was developed. This procedure proceeds well and affords a mild and efficient route to a range of monosulfonylated pyrrolin-2-ones at room temperatures.

摘要

通过烯烃C(sp)-H的分子间自由基加成/环化反应,开发了一种温和的、可见光诱导的1,5-二烯与磺酰氯的区域选择性串联磺酰化-环化反应。该方法反应良好,在室温下为一系列单磺酰化吡咯啉-2-酮提供了一条温和而有效的合成路线。

https://cdn.ncbi.nlm.nih.gov/pmc/blobs/1b61/10386375/564e8b0b1294/molecules-28-05473-g001.jpg

文献AI研究员

20分钟写一篇综述,助力文献阅读效率提升50倍。

立即体验

用中文搜PubMed

大模型驱动的PubMed中文搜索引擎

马上搜索

文档翻译

学术文献翻译模型,支持多种主流文档格式。

立即体验