Suppr超能文献

用于可持续氧化小烯烃和烯丙醇的钒催化剂的系统开发。

Systematic Development of Vanadium Catalysts for Sustainable Epoxidation of Small Alkenes and Allylic Alcohols.

机构信息

LAQV-REQUIMTE, Department of Chemistry and Biochemistry, Faculty of Sciences, University of Porto, Rua do Campo Alegre, S/N, 4169-007 Porto, Portugal.

CQUM, Centre of Chemistry, University of Minho, Campus de Gualtar, 4710-057 Braga, Portugal.

出版信息

Int J Mol Sci. 2023 Aug 1;24(15):12299. doi: 10.3390/ijms241512299.

Abstract

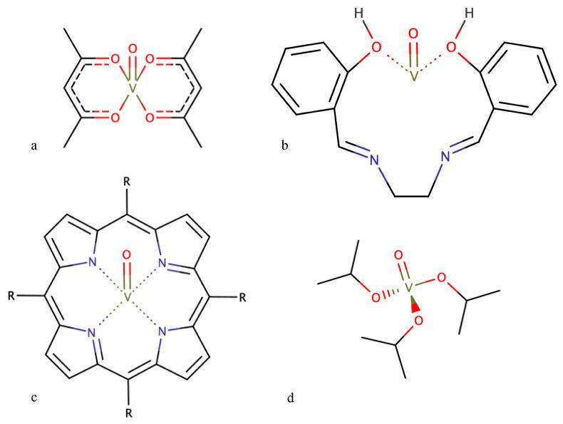
The catalytic epoxidation of small alkenes and allylic alcohols includes a wide range of valuable chemical applications, with many works describing vanadium complexes as suitable catalysts towards sustainable process chemistry. But, given the complexity of these mechanisms, it is not always easy to sort out efficient examples for streamlining sustainable processes and tuning product optimization. In this review, we provide an update on major works of tunable vanadium-catalyzed epoxidations, with a focus on sustainable optimization routes. After presenting the current mechanistic view on vanadium catalysts for small alkenes and allylic alcohols' epoxidation, we argue the key challenges in green process development by highlighting the value of updated kinetic and mechanistic studies, along with essential computational studies.

摘要

小分子烯烃和烯丙醇的催化环氧化反应包括广泛的有价值的化学应用,许多工作描述了钒配合物作为适合可持续过程化学的催化剂。但是,由于这些机制的复杂性,要梳理出用于简化可持续过程和调整产品优化的有效实例并不总是那么容易。在这篇综述中,我们提供了可调变的钒催化环氧化反应的主要工作的最新进展,重点是可持续的优化路线。在提出目前关于小分子烯烃和烯丙醇环氧化的钒催化剂的反应机理之后,我们通过强调更新的动力学和反应机理研究以及必要的计算研究的价值,来讨论绿色过程开发中的关键挑战。

https://cdn.ncbi.nlm.nih.gov/pmc/blobs/b58f/10418365/60f980cfe13b/ijms-24-12299-g001.jpg

文献AI研究员

20分钟写一篇综述,助力文献阅读效率提升50倍。

立即体验

用中文搜PubMed

大模型驱动的PubMed中文搜索引擎

马上搜索

文档翻译

学术文献翻译模型,支持多种主流文档格式。

立即体验