Suppr超能文献

生物膜对抗菌治疗动态反应的药效学模型

Pharmacodynamic Model of the Dynamic Response of Biofilms to Antibacterial Treatments.

作者信息

Roychowdhury Swarnima, Roth Charles M

机构信息

Department of Biomedical Engineering, Rutgers, The State University of New Jersey, Piscataway, NJ 08854, USA.

Department of Chemical and Biochemical Engineering, Rutgers, The State University of New Jersey, Piscataway, NJ 08854, USA.

出版信息

Biomedicines. 2023 Aug 21;11(8):2316. doi: 10.3390/biomedicines11082316.

Abstract

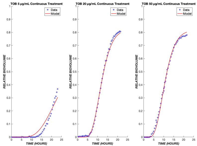
Accurate pharmacokinetic-pharmacodynamic (PK-PD) models of biofilm treatment could be used to guide formulation and administration strategies to better control bacterial lung infections. To this end, we developed a detailed pharmacodynamic model of treatment with the front-line antibiotics, tobramycin and colistin, and validated it on a detailed dataset of killing dynamics. A compartmental model structure was developed in which the key features are the diffusion of the drug through a boundary layer to the bacteria, concentration-dependent interactions with bacteria, and the passage of the bacteria through successive transit states before death. The number of transit states employed was greater for tobramycin, which is a ribosomal inhibitor, than for colistin, which disrupts bacterial membranes. For both drugs, the experimentally observed delay in the killing of bacteria following drug exposure was consistent with the sum of the diffusion time and the time for passage through the transit states. For each drug, the PD model with a single set of parameters described data across a ten-fold range of concentrations and for both continuous and transient exposure protocols, as well as for combined drug treatments. The ability to predict drug response over a range of administration protocols allows this PD model to be integrated with PK descriptions to describe in vivo antibiotic response dynamics and to predict drug delivery strategies for the improved control of bacterial lung infections.

摘要

准确的生物膜治疗药代动力学-药效学(PK-PD)模型可用于指导制剂和给药策略,以更好地控制肺部细菌感染。为此,我们开发了一个关于一线抗生素妥布霉素和黏菌素治疗的详细药效学模型,并在一个详细的杀灭动力学数据集上对其进行了验证。我们构建了一个房室模型结构,其关键特征包括药物通过边界层扩散至细菌、与细菌的浓度依赖性相互作用,以及细菌在死亡前依次经历的过渡状态。作为核糖体抑制剂的妥布霉素所采用的过渡状态数量比破坏细菌膜的黏菌素更多。对于这两种药物,实验观察到的药物暴露后细菌杀灭延迟与扩散时间和通过过渡状态的时间之和一致。对于每种药物,具有单一参数集的PD模型描述了跨越十倍浓度范围的数据,适用于连续和短暂暴露方案以及联合药物治疗。该PD模型能够预测一系列给药方案下的药物反应,这使得它能够与药代动力学描述相结合,以描述体内抗生素反应动态,并预测改善肺部细菌感染控制的给药策略。

https://cdn.ncbi.nlm.nih.gov/pmc/blobs/f843/10452719/dd8767e6e2b7/biomedicines-11-02316-g001.jpg

文献AI研究员

20分钟写一篇综述,助力文献阅读效率提升50倍。

立即体验

用中文搜PubMed

大模型驱动的PubMed中文搜索引擎

马上搜索

文档翻译

学术文献翻译模型,支持多种主流文档格式。

立即体验