Suppr超能文献

小檗碱微丸对新冠门诊患者临床恢复时间的影响评估:一项初步临床试验。

Evaluation of berberine pellet effect on clinical recovery time in COVID-19 outpatients: A pilot clinical trial.

作者信息

Omidvar Tehrani Soodabeh, Ghasemzadeh Rahbardar Mahboobeh, Shoorgashti Kamran, Dehghan Nayeri Mohammad Javad, Mohammadpour Amir Hooshang, Hosseinzadeh Hossein

机构信息

School of Pharmacy, Mashhad University of Medical Sciences, Mashhad, Iran.

Pharmaceutical Research Center, Pharmaceutical Technology Institute, Mashhad University of Medical Sciences, Mashhad, Iran.

出版信息

Avicenna J Phytomed. 2023 May-Jun;13(3):265-279. doi: 10.22038/AJP.2022.21539.

Abstract

OBJECTIVE

Severe disease onset of COVID-19 may result in alveolar injury and respiratory failure. Apoptosis and inflammation are the main causes of respiratory distress syndrome. Berberine is used in medicine as an analgesic, anti-asthmatic, anti-inflammatory, and antiviral. In the current investigation, the effect of berberine on COVID-19 outpatients was studied.

MATERIALS AND METHODS

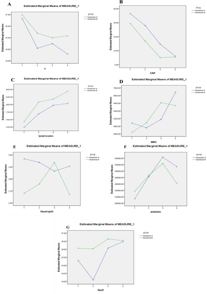
The present clinical trial was performed on 40 outpatients who were randomly assigned to berberine (300 mg, TID, 2 weeks) (n=19) or placebo groups (n=21). Both groups received standard therapy and they were monitored on days 3, 7, and 14 after the beginning of the therapy for clinical symptoms' improvement, quantitative CRP, lymphopenia, CBC, and SpO. The severity and frequency of these symptoms and the level of the parameters were statistically compared between the two groups.

RESULTS

On days (0, 3, 7, and 14, there was no significant difference between the berberine and placebo groups in the improvement of clinical symptoms (cough, shortness of breath, nausea, loss of smell and taste, diarrhea, dizziness, sore throat, stomachache, body aches, and body temperature), quantitative CRP, lymphopenia, WBC, neutrophils, platelets, or SpO.

CONCLUSION

Berberine (300 mg, TID, two weeks) is ineffective in treating COVID-19. More research with a larger sample size is needed to investigate different berberine dosages in other pharmaceutical formulations.

摘要

目的

新型冠状病毒肺炎(COVID-19)的重症发病可能导致肺泡损伤和呼吸衰竭。细胞凋亡和炎症是呼吸窘迫综合征的主要原因。小檗碱在医学上用作镇痛药、抗哮喘药、抗炎药和抗病毒药。在本研究中,研究了小檗碱对COVID-19门诊患者的影响。

材料与方法

本临床试验对40名门诊患者进行,这些患者被随机分为小檗碱组(300毫克,每日三次,共2周)(n = 19)或安慰剂组(n = 21)。两组均接受标准治疗,并在治疗开始后的第3、7和14天对其进行监测,以观察临床症状改善情况、定量C反应蛋白(CRP)、淋巴细胞减少、全血细胞计数(CBC)和血氧饱和度(SpO)。对两组之间这些症状的严重程度和频率以及参数水平进行统计学比较。

结果

在第0、3、7和14天,小檗碱组和安慰剂组在临床症状(咳嗽、气短、恶心、嗅觉和味觉丧失、腹泻、头晕、喉咙痛、胃痛、身体疼痛和体温)改善、定量CRP、淋巴细胞减少、白细胞、中性粒细胞、血小板或SpO方面无显著差异。

结论

小檗碱(300毫克,每日三次,两周)治疗COVID-19无效。需要进行更多样本量更大的研究,以调查其他药物制剂中不同剂量的小檗碱。

https://cdn.ncbi.nlm.nih.gov/pmc/blobs/36b8/10465880/a77902ec63ff/AJP-13-265-g001.jpg

文献AI研究员

20分钟写一篇综述,助力文献阅读效率提升50倍。

立即体验

用中文搜PubMed

大模型驱动的PubMed中文搜索引擎

马上搜索

文档翻译

学术文献翻译模型,支持多种主流文档格式。

立即体验