Suppr超能文献

静脉补铁后低磷血症的发生率:来自日本随机对照试验数据的匹配调整间接比较。

Incidence of Hypophosphatemia After Intravenous Administration of Iron: A Matching-Adjusted Indirect Comparison of Data from Japanese Randomized Controlled Trials.

机构信息

Fujii Memorial Institute of Medical Sciences, Institute of Advanced Medical Sciences, Tokushima University, Tokushima, Japan.

Crecon Medical Assessment Inc., Tokyo, Japan.

出版信息

Adv Ther. 2023 Nov;40(11):4877-4888. doi: 10.1007/s12325-023-02591-1. Epub 2023 Sep 13.

Abstract

INTRODUCTION

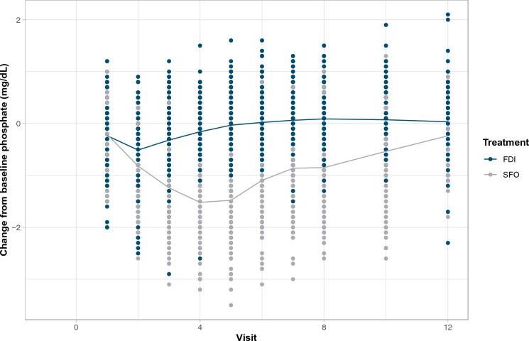
Intravenous (IV) administration of iron is considered a safe and efficacious treatment for iron deficiency anemia (IDA), recommended in patients requiring rapid replenishment of iron, or intolerant or unresponsive to oral administration of iron. Recent randomized controlled trials (RCTs) have shown high incidence of hypophosphatemia after administration of two IV iron preparations: saccharated ferric oxide (SFO) and ferric carboxymaltose (FCM). The present study aimed to conduct matching-adjusted indirect comparison (MAIC) of hypophosphatemia incidence with these iron formulations and ferric derisomaltose (FDI) based on data from head-to-head RCTs conducted in Japan.

METHODS

A MAIC of hypophosphatemia incidence was conducted on the basis of data from two head-to-head RCTs. The relative odds of hypophosphatemia with FDI versus SFO were obtained from patient-level data from a recent RCT and adjusted for cumulative iron dose, while parametric models of serum phosphate levels from a separate RCT were used to estimate the relative odds of hypophosphatemia with FCM with SFO. An anchored MAIC was then conducted comparing FDI with FCM.

RESULTS

The adjusted odds of experiencing hypophosphatemia were significantly lower with FDI than SFO [odds ratio (OR) of 0.02; 95% confidence interval (CI) 0.01-0.05]. The parametric models of serum phosphate from the RCT comparing FCM with SFO provided an estimated OR of 1.17 for the incidence of hypophosphatemia with FCM versus SFO. Combining the two estimates in the MAIC showed that the odds of experiencing hypophosphatemia would be 52.5 (95% CI 27.7-99.4) times higher with FCM than FDI in patients with IDA associated with heavy menstrual bleeding in Japan.

CONCLUSIONS

Direct comparison of patient-level data and a MAIC from two RCTs in Japanese patients with heavy menstrual bleeding indicated that hypophosphatemia is less frequent in patients treated with FDI than those with FCM or SFO. Results are in agreement with RCTs comparing FDI and FCM in patients with various etiologies conducted in the USA and Europe.

摘要

简介

静脉内(IV)给予铁被认为是治疗缺铁性贫血(IDA)的安全有效方法,推荐用于需要快速补充铁的患者,或不能耐受或不能对口服铁剂有反应的患者。最近的随机对照试验(RCT)表明,两种 IV 铁制剂:蔗糖铁(SFO)和羧基麦芽糖铁(FCM)给药后,低磷血症的发生率较高。本研究旨在根据在日本进行的头对头 RCT 的数据,对这些铁制剂和铁低聚糖(FDI)的低磷血症发生率进行匹配调整间接比较(MAIC)。

方法

基于两项头对头 RCT 的数据进行 MAIC。从最近一项 RCT 的患者水平数据中获得 FDI 与 SFO 相比发生低磷血症的相对优势比(OR),并根据累积铁剂量进行调整,而从另一项 RCT 的血清磷酸盐水平的参数模型估计 FCM 与 SFO 相比发生低磷血症的相对 OR。然后对 FDI 与 FCM 进行锚定 MAIC。

结果

与 SFO 相比,FDI 发生低磷血症的调整后 OR 显著降低[比值比(OR)为 0.02;95%置信区间(CI)为 0.01-0.05]。来自比较 FCM 与 SFO 的 RCT 的血清磷酸盐参数模型为 FCM 与 SFO 相比低磷血症的发生率提供了 1.17 的估计 OR。在 MAIC 中合并这两个估计值表明,在日本与月经过多相关的 IDA 患者中,与 FDI 相比,FCM 发生低磷血症的几率将高 52.5(95%CI 27.7-99.4)倍。

结论

对日本月经过多患者的两项 RCT 中的患者水平数据的直接比较和 MAIC 表明,与 FCM 或 SFO 相比,FDI 治疗的患者发生低磷血症的频率较低。这些结果与在美国和欧洲进行的比较 FDI 和 FCM 的 RCT 一致。

https://cdn.ncbi.nlm.nih.gov/pmc/blobs/544d/10567814/f51574d0b38d/12325_2023_2591_Fig1_HTML.jpg

文献AI研究员

20分钟写一篇综述,助力文献阅读效率提升50倍。

立即体验

用中文搜PubMed

大模型驱动的PubMed中文搜索引擎

马上搜索

文档翻译

学术文献翻译模型,支持多种主流文档格式。

立即体验