Suppr超能文献

肠道微生物群与痤疮:一项孟德尔随机化研究。

Gut microbiota and acne: A Mendelian randomization study.

机构信息

Department of Anorectal Surgery, Jiangmen Wuyi Hospital of Traditional Chinese Medicine, Jiangmen, China.

Clinical Medical College, Jiangxi University of Traditional Chinese Medicine, Nanchang, China.

出版信息

Skin Res Technol. 2023 Sep;29(9):e13473. doi: 10.1111/srt.13473.

Abstract

BACKGROUND

Prior observational studies have identified a relationship between the composition of gut microbiota and the onset of acne. To ascertain the causal relationship underlying this association, we adopted the Mendelian randomization (MR) method, which offers a powerful approach to causal inference.

METHODS

Summary statistics on gut microbiota and acne were obtained from the MiBioGen and FinnGen consortium, respectively. The causal relationship was assessed using multiple methods in a two-sample framework, including MR Egger, weighted median, inverse variance weighted (IVW), and weighted mode. Furthermore, the heterogeneity and horizontal pleiotropy analyses were conducted, along with the leave-one-out method.

RESULTS

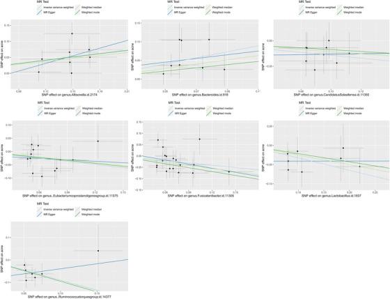
The IVW estimation indicated that Allisonella (odds ratio [OR] = 1.42, 95% confidence interval [CI] = 1.18-1.70, p = 0.0002) and Bacteroides (OR = 2.25, 95% CI = 1.48-3.42, p = 0.0001) have adverse effects on acne. By contrast, Ruminococcus torques group (OR = 0.41, 95% CI = 0.25-0.65, p = 0.0002) showed a beneficial effect on acne. In addition, Candidatus soleaferrea (OR = 0.75, 95% CI = 0.60-0.95, p = 0.0149), Eubacterium coprostanoligenes group (OR = 0.67, 95% CI = 0.47-0.95, p = 0.0230), Fusicatenibacter (OR = 0.71, 95% CI = 0.52-0.97, p = 0.02897), and Lactobacillus (OR = 0.72, 95% CI = 0.58-0.90, p = 0.0046) showed suggestive associations with acne.

CONCLUSION

The present investigation suggests a causal effect of gut microbiota on acne.

摘要

背景

先前的观察性研究已经确定了肠道微生物群落的组成与痤疮发病之间存在关联。为了确定这种关联背后的因果关系,我们采用了孟德尔随机化(MR)方法,该方法为因果推断提供了一种强大的方法。

方法

从 MiBioGen 和 FinnGen 联合组织分别获得了肠道微生物群和痤疮的汇总统计数据。使用两样本框架中的多种方法评估了因果关系,包括 MR Egger、加权中位数、逆方差加权(IVW)和加权模式。此外,还进行了异质性和水平多效性分析,以及逐一删除方法。

结果

IVW 估计表明,Allisonella(比值比 [OR] = 1.42,95%置信区间 [CI] = 1.18-1.70,p = 0.0002)和 Bacteroides(OR = 2.25,95% CI = 1.48-3.42,p = 0.0001)对痤疮有不利影响。相比之下,Ruminococcus torques 组(OR = 0.41,95% CI = 0.25-0.65,p = 0.0002)对痤疮有有益影响。此外,Candidatus soleaferrea(OR = 0.75,95% CI = 0.60-0.95,p = 0.0149)、Eubacterium coprostanoligenes 组(OR = 0.67,95% CI = 0.47-0.95,p = 0.0230)、Fusicatenibacter(OR = 0.71,95% CI = 0.52-0.97,p = 0.02897)和 Lactobacillus(OR = 0.72,95% CI = 0.58-0.90,p = 0.0046)与痤疮呈显著关联。

结论

本研究表明肠道微生物群对痤疮有因果影响。

https://cdn.ncbi.nlm.nih.gov/pmc/blobs/639d/10507220/af8c12207474/SRT-29-e13473-g001.jpg

文献AI研究员

20分钟写一篇综述,助力文献阅读效率提升50倍。

立即体验

用中文搜PubMed

大模型驱动的PubMed中文搜索引擎

马上搜索

文档翻译

学术文献翻译模型,支持多种主流文档格式。

立即体验