Suppr超能文献

与匹配的对照组相比,南澳大利亚州轻度认知障碍和阿尔茨海默病病例的红细胞脂肪酸谱有显著改变。

Red Blood Cell Fatty Acid Profiles Are Significantly Altered in South Australian Mild Cognitive Impairment and Alzheimer's Disease Cases Compared to Matched Controls.

作者信息

Dhillon Varinderpal S, Thomas Philip, Lee Sau L, Deo Permal, Fenech Michael

机构信息

Health and Biomedical Innovation, UniSA Clinical and Health Sciences, University of South Australia, Adelaide 5000, Australia.

CSIRO Health and Biosecurity, Adelaide 5000, Australia.

出版信息

Int J Mol Sci. 2023 Sep 15;24(18):14164. doi: 10.3390/ijms241814164.

Abstract

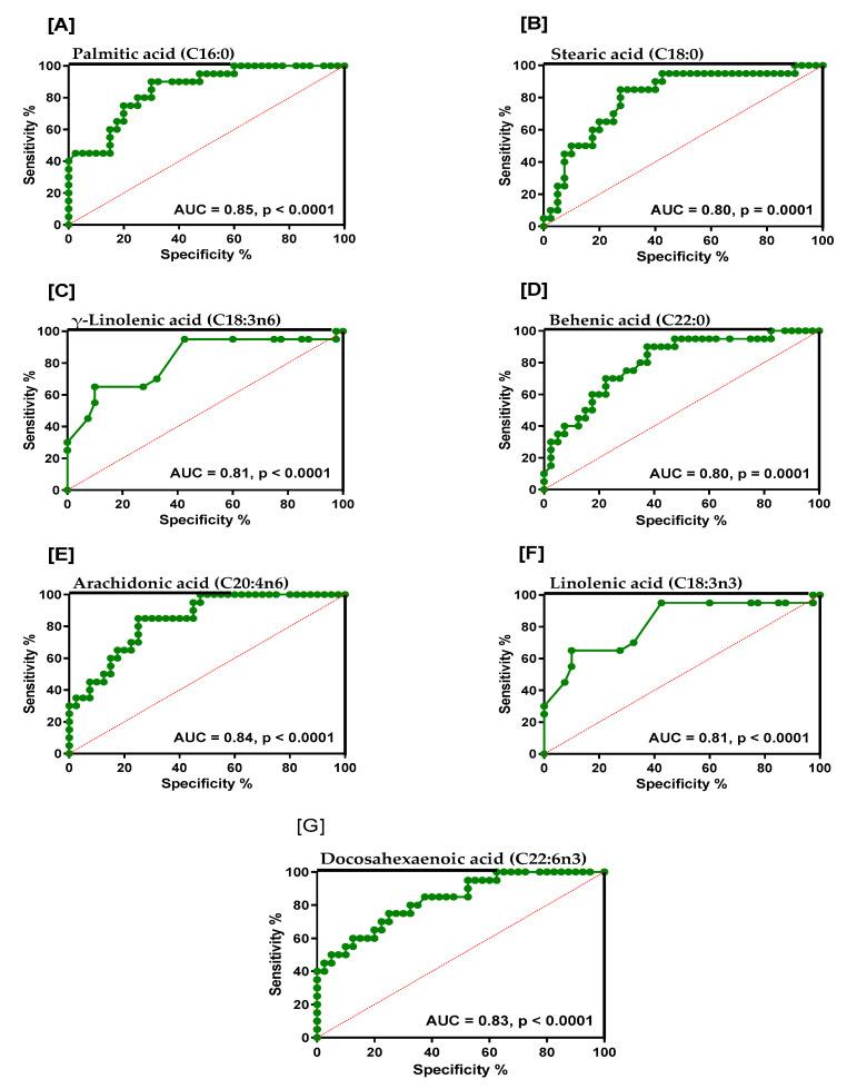
Nutritional imbalances have been associated with a higher risk for cognitive impairment. This study determined the red blood cell (RBC) fatty acid profile of newly diagnosed mild cognitive impairment (MCI) and Alzheimer's disease (AD) patients compared to age and gender-matched controls. There was a significant increase in palmitic acid ( < 0.00001) for both MCI and AD groups. Saturated fatty acids were significantly elevated in the MCI group, including stearic acid ( = 0.0001), arachidic acid ( = 0.003), behenic acid ( = 0.0002), tricosanoic acid ( = 0.007) and lignoceric acid ( = 0.001). n-6 polyunsaturated fatty acids (PUFAs) were significantly reduced in MCI, including linoleic acid ( = 0.001), γ-linolenic acid ( = 0.03), eicosatrienoic acid ( = 0.009) and arachidonic acid ( < 0.00004). The n-3 PUFAs, α-linolenic acid and docosahexaenoic acid, were both significantly reduced in MCI and AD ( = 0.0005 and = 0.00003). A positive correlation was evident between the Mini-Mental State Examination score and nervonic acid in MCI (r = 0.54, = 0.01) and a negative correlation with γ-linolenic acid in AD (r = -0.43, = 0.05). Differences in fatty acid profiles may prove useful as potential biomarkers reflecting increased risk for dementia.

摘要

营养失衡与认知障碍风险较高有关。本研究确定了新诊断的轻度认知障碍(MCI)和阿尔茨海默病(AD)患者的红细胞(RBC)脂肪酸谱,并与年龄和性别匹配的对照组进行比较。MCI组和AD组的棕榈酸均显著增加(<0.00001)。MCI组的饱和脂肪酸显著升高,包括硬脂酸(=0.0001)、花生酸(=0.003)、山嵛酸(=0.0002)、二十三烷酸(=0.007)和木质素酸(=0.001)。MCI组的n-6多不饱和脂肪酸(PUFA)显著减少,包括亚油酸(=0.001)、γ-亚麻酸(=0.03)、二十碳三烯酸(=0.009)和花生四烯酸(<0.00004)。MCI组和AD组的n-3多不饱和脂肪酸、α-亚麻酸和二十二碳六烯酸均显著减少(=0.0005和=0.00003)。MCI组简易精神状态检查表得分与神经酸呈显著正相关(r=0.54,=0.01),AD组与γ-亚麻酸呈显著负相关(r=-0.43,=0.05)。脂肪酸谱的差异可能作为反映痴呆风险增加的潜在生物标志物。

https://cdn.ncbi.nlm.nih.gov/pmc/blobs/7cba/10531649/7ca920aa9c63/ijms-24-14164-g001.jpg

文献AI研究员

20分钟写一篇综述,助力文献阅读效率提升50倍。

立即体验

用中文搜PubMed

大模型驱动的PubMed中文搜索引擎

马上搜索

文档翻译

学术文献翻译模型,支持多种主流文档格式。

立即体验