Suppr超能文献

曲妥珠单抗治疗 HER2 阳性转移性乳腺癌的演变:GIM14/BIOMETA 研究的数据。

Evolving treatments and outcomes in HER2-Positive metastatic breast cancer: Data from the GIM14/BIOMETA study.

机构信息

Department of Oncology, University of Turin, Ordine Mauriziano Hospital, Turin, Italy.

Department of Medical Oncology, U.O. Oncologia Medica 2, Ospedale Policlinico San Martino, Genoa, Italy.

出版信息

Breast. 2023 Dec;72:103583. doi: 10.1016/j.breast.2023.103583. Epub 2023 Sep 25.

Abstract

BACKGROUND

Treatment for HER2-positive (+) metastatic breast cancer has improved in the last decade. We analyzed treatment changes over time and their impact on patients outcomes in a real-world dataset.

METHODS

Data from 637 HER2+ patients with metastatic breast cancer enrolled in the multicenter Italian GIM14/BIOMETA study were retrieved. Progression-free survival (PFS) over time was evaluated according to the type of anti-HER2 therapy, disease onset (de novo vs. relapsing), metastatic site, and year of treatment (2000-2013 vs. 2014-2020).

RESULTS

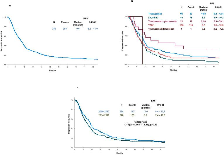
Median follow-up was 64.4 months. Overall, for first-line therapies, mPFS was 16.5 vs 19.5 months for patients treated in 2000-2013 vs 2014-2020 (HR: 0.78, 95% CI:0.65-0.94, P = 0.008). mPFS improved over time in all patients except for those with brain metastasis. Interestingly mPFS was 17.4 vs13.4 months (HR, 1.49; 95% CI, 1.13-1.98, P = 0.005) in 2000-2013 and 24.4 vs 20.9 months (HR 1.04; 95% CI 0.78-1.40 p = 0.77) in 2014-2020 in pts without vs with liver metastases. For second line therapies, the overall median PFS was 9.6 months (95% CI, 8.31-10.97) and did not change over time.

CONCLUSION

Median first-line PFS improved since 2014, mainly due to the introduction of pertuzumab. The outcome of patients with liver metastases appears to have improved in recent years. Patients with brain metastases had the worst PFS, which also did not improve over time.

摘要

背景

在过去十年中,针对人表皮生长因子受体 2(HER2)阳性(+)转移性乳腺癌的治疗已经取得了进展。我们分析了真实世界数据集中随时间推移的治疗变化及其对患者结局的影响。

方法

从多中心意大利 GIM14/BIOMETA 研究中纳入的 637 例 HER2+转移性乳腺癌患者中检索数据。根据抗 HER2 治疗类型、疾病起始(初发 vs 复发)、转移部位和治疗年份(2000-2013 年 vs 2014-2020 年)评估随时间推移的无进展生存期(PFS)。

结果

中位随访时间为 64.4 个月。总体而言,对于一线治疗,2000-2013 年和 2014-2020 年治疗的患者 mPFS 分别为 16.5 和 19.5 个月(HR:0.78,95%CI:0.65-0.94,P=0.008)。除脑转移患者外,所有患者的 mPFS 均随时间推移而改善。有趣的是,在 2000-2013 年,mPFS 为 17.4 个月 vs 13.4 个月(HR:1.49;95%CI:1.13-1.98,P=0.005),而在 2014-2020 年为 24.4 个月 vs 20.9 个月(HR:1.04;95%CI:0.78-1.40,P=0.77)。在无肝转移和有肝转移的患者中。二线治疗的总体中位 PFS 为 9.6 个月(95%CI:8.31-10.97),且随时间推移未发生变化。

结论

自 2014 年以来,一线治疗的中位 PFS 有所改善,主要归因于曲妥珠单抗的应用。近年来,肝转移患者的预后似乎有所改善。脑转移患者的 PFS 最差,且随时间推移并未改善。

https://cdn.ncbi.nlm.nih.gov/pmc/blobs/d423/10551556/ad9d4b195ed9/gr1.jpg

文献AI研究员

20分钟写一篇综述,助力文献阅读效率提升50倍。

立即体验

用中文搜PubMed

大模型驱动的PubMed中文搜索引擎

马上搜索

文档翻译

学术文献翻译模型,支持多种主流文档格式。

立即体验