Suppr超能文献

利用农业废弃物为基质,研究黑曲霉和绿色木霉共发酵生产单宁酶和没食子酸的特性及其应用。

Characterization and application of tannase and gallic acid produced by co-fungi of Aspergillus niger and Trichoderma viride utilizing agro-residues substrates.

机构信息

Department of Agricultural Microbiology, Faculty of Agriculture, Beni-Suef University, Beni-Suef, Egypt.

Agricultural Microbiology Department, Faculty of Agriculture, Ain Shams University, Hadayek Shubra, Cairo, 11241, Egypt.

出版信息

Sci Rep. 2023 Oct 5;13(1):16755. doi: 10.1038/s41598-023-43955-5.

Abstract

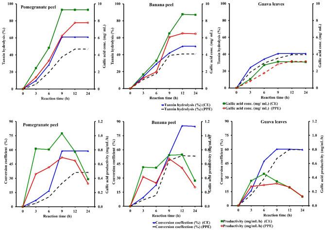
Bioconversion using fungi, as natural factory of many applicable bioactive compounds, as enzymes utilizing agro-residue substrates as a solid, abundant, low-cost growth and enzyme production media. This study characterized and applied a tannase enzyme (308 U/mg) from Aspergillus niger A8 + Trichoderma viride co-cultures utilizing pomegranate peels. The partially purified enzyme showed maximal relative activity at 37-65 °C for 10 min and kinetics of thermal inactivation energy at a high point at 60 °C for 0.040/min. The half-life was 37 °C for 58.6 min, temperature coefficient Q of tannase was maximal for 1.38 between 40 and 50 °C, and the activation energy was 17.42 kJ/mol. The enzyme activity peaked in the pH range of 4-8, and the maximum relative activity (100.6%) for tannase was achieved at pH 6. The K and V values for purified enzymes using tannic acid were 7.3 mg/mL and 3333.33 U/mL, respectively. The enzyme reduced the total tannin content in all tannin-rich substrates after 12h. The gallic acid (GA) had total phenols of 77.75 ppm and antioxidant activity of 82.91%. It was observed that the GA as antimicrobial influencer exhibited the largest inhibitory zone diameter (IZD) of 31 ± 1.0 mm against Pseudomonas aeruginosa ATCC27853. The GA minimum inhibitory concentration value was ranged from 7770.0-121.41 µg/mL. The obtained GA showed a bactericidal effect against all bacterial strains except Shigella sonnei DSM5570 and Salmonella typhi DSM17058, which showed bacteriostatic behavior.

摘要

利用真菌进行生物转化,真菌是许多适用生物活性化合物的天然工厂,可利用农业残留物作为固体、丰富、低成本的生长和酶生产介质来利用酶。本研究对黑曲霉 A8+绿色木霉共培养物利用石榴皮产生的单宁酶(308 U/mg)进行了特性分析和应用。部分纯化的酶在 37-65°C 下具有最大相对活性,10 分钟内热失活动力学能量最高点为 60°C,为 0.040/min。半衰期为 37°C 时为 58.6 分钟,单宁酶的温度系数 Q 在 40-50°C 之间最大为 1.38,活化能为 17.42 kJ/mol。酶活性在 pH 4-8 范围内达到峰值,单宁酶的最大相对活性(100.6%)在 pH 6 时达到。用单宁酸测定纯化酶的 K 和 V 值分别为 7.3 mg/mL 和 3333.33 U/mL。该酶在 12 小时后降低了所有富含单宁的底物中的总单宁含量。没食子酸(GA)的总酚含量为 77.75 ppm,抗氧化活性为 82.91%。观察到 GA 作为抗菌影响因子,对铜绿假单胞菌 ATCC27853 的抑菌圈直径(IZD)最大为 31±1.0 mm。GA 的最小抑菌浓度值范围为 7770.0-121.41 µg/mL。所得到的 GA 对除宋内志贺菌 DSM5570 和伤寒沙门氏菌 DSM17058 以外的所有细菌菌株均表现出杀菌作用,这两种细菌表现出抑菌作用。

https://cdn.ncbi.nlm.nih.gov/pmc/blobs/284f/10556068/b86078d19fcd/41598_2023_43955_Fig1_HTML.jpg

文献AI研究员

20分钟写一篇综述,助力文献阅读效率提升50倍。

立即体验

用中文搜PubMed

大模型驱动的PubMed中文搜索引擎

马上搜索

文档翻译

学术文献翻译模型,支持多种主流文档格式。

立即体验