Suppr超能文献

一种基于有金属修复体的牙面百分比来区分糜烂型和网状扁平苔藓的新方法。

A Novel Approach to Differentiating Erosive and Reticular Lichen Planus Based on the Percentage of Dental Surfaces With Metal Restorations.

作者信息

Zisis Vasileios, Giannakopoulos Nikolaos N, Schmitter Marc, Poulopoulos Athanasios, Andreadis Dimitrios

机构信息

Prosthodontics, Julius-Maximilians-Universität Würzburg, Würzburg, DEU.

Oral Medicine/Pathology, Aristotle University of Thessaloniki, Thessaloniki, GRC.

出版信息

Cureus. 2023 Sep 6;15(9):e44782. doi: 10.7759/cureus.44782. eCollection 2023 Sep.

Abstract

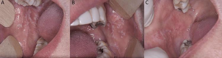
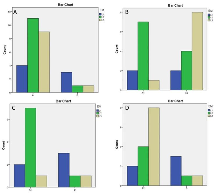
Introduction Oral lichen planus (OLP) and oral lichenoid reaction (OLR) constitute clinical entities with strong but unclear etiologic relation to dental materials. The aim of this study was to evaluate a correlation between the clinical form of OLP/OLR and the number of dental metal restorations in the oral cavity thus utilizing an exposure to metal (EM) index.  Material and methods The study type is experimental, and the study design is characterized as semiquantitative research that belongs to the branch of experimental research. Twenty-nine patients were chosen based on clinical (either reticular or erosive clinical forms) and histologic findings suggestive of OLP/OLR. The files of patients were retrieved from the archives of the Department of Oral Medicine/Pathology, School of Dentistry, Aristotle University of Thessaloniki, Greece, during the period 2009-2019. The medical history of the patients did not include any disorder or medication associated with lichenoid lesions and the measurements took place concurrently with the establishment of the diagnosis, thus no treatment for the lichen planus had been administered prior to the measurements. Quantitative measurement of the percentage of dental surfaces restored through metal restorations and correlation with the clinical and histologic findings of OLP/OLR was evaluated. The EM index was evaluated on a scale of 1-3, which corresponds to the percentage of dental surfaces restored through metal restorations. The statistical analysis was performed with the Pearson chi-square test and the significance level was set at ≤0.05. Results The EM index was measured by dividing each tooth into five surfaces (occlusal, mesial, distal, buccal, lingual), subsequently multiplying the number of available teeth with the number 5 to calculate the total number of surfaces, and then counting the number of surfaces with metal restorations - both fillings and crowns (in case of metal-ceramic crowns, the respective dental surface is taken into account only in case of macroscopically exposed metal), dividing the number of surfaces with metal restorations with the total number of surfaces and multiply by 100 so that the results take the form of percentages (%) and finally classifying the percentages into three groups: 1: 0% metal restorations, 2: 1-25% metal restorations, 3: >26% metal restorations). The percentage in female patients ranged from 0% to 100%, whereas it ranged from 0% to 60% in male patients. According to the clinical form of the lichenoid lesion, the percentage ranged from 0% to 60% in reticular lichen planus cases and from 0% to 100% in erosive lichen planus cases. There was no statistical difference between lichen planus cases, in total, and in normal oral epithelium. However, the levels of EM were marginally similar between the reticular lichen planus and the erosive lichen planus (Fisher's exact test, ). Therefore, it may be the case that the EM index is higher in erosive lichenoid lesions. Conclusion In our study, the EM index was higher in female patients and in erosive lichenoid lesions. These findings should be tested and supported by larger samples of patients since the aforementioned Fisher's Exact Test, could fall below the threshold of 0.05 if more patients were included. This is the first attempt to establish a novel approach to differentiating erosive and reticular lichen planus based on the percentage of dental surfaces with metal restorations.

摘要

引言

口腔扁平苔藓(OLP)和口腔苔藓样反应(OLR)是与牙科材料存在密切但尚不明确病因关系的临床病症。本研究旨在通过使用金属暴露(EM)指数来评估OLP/OLR的临床形式与口腔中牙科金属修复体数量之间的相关性。

材料与方法

本研究类型为实验性研究,研究设计为半定量研究,属于实验研究分支。基于临床(网状或糜烂性临床形式)和组织学检查结果提示为OLP/OLR,选取了29例患者。患者档案取自希腊塞萨洛尼基亚里士多德大学牙科学院口腔医学/病理学系2009年至2019年期间的存档。患者的病史中不包括任何与苔藓样病变相关的疾病或药物治疗,测量在诊断确立时同时进行,因此在测量之前未对扁平苔藓进行任何治疗。评估通过金属修复体修复的牙面百分比的定量测量以及与OLP/OLR的临床和组织学检查结果的相关性。EM指数按1 - 3级进行评估,该分级对应于通过金属修复体修复的牙面百分比。采用Pearson卡方检验进行统计分析,显著性水平设定为≤0.05。

结果

通过将每颗牙齿分为五个面(咬合面、近中面、远中面、颊面、舌面)来测量EM指数,随后将可用牙齿数量乘以5以计算总面数,然后计算有金属修复体的面数(包括补牙和牙冠,对于金属烤瓷冠,仅在宏观上暴露金属的情况下才考虑相应的牙面),将有金属修复体的面数除以总面数并乘以100,以使结果以百分比(%)形式呈现,最后将百分比分为三组:1:0%金属修复体,2:1 - 25%金属修复体,3:>26%金属修复体)。女性患者的百分比范围为0%至100%,而男性患者的百分比范围为0%至60%。根据苔藓样病变的临床形式,网状扁平苔藓病例的百分比范围为0%至60%,糜烂性扁平苔藓病例的百分比范围为0%至100%。总体而言,扁平苔藓病例与正常口腔上皮之间无统计学差异。然而,网状扁平苔藓和糜烂性扁平苔藓之间的EM水平略有相似(Fisher精确检验, )。因此,糜烂性苔藓样病变中的EM指数可能更高。

结论

在我们的研究中,女性患者和糜烂性苔藓样病变中的EM指数更高。由于上述Fisher精确检验,如果纳入更多患者, 可能会低于0.05的阈值,因此这些发现应由更大样本的患者进行验证和支持。这是首次尝试基于有金属修复体的牙面百分比建立一种区分糜烂性和网状扁平苔藓的新方法。

https://cdn.ncbi.nlm.nih.gov/pmc/blobs/ab23/10558055/7cf43be90b18/cureus-0015-00000044782-i01.jpg

文献AI研究员

20分钟写一篇综述,助力文献阅读效率提升50倍。

立即体验

用中文搜PubMed

大模型驱动的PubMed中文搜索引擎

马上搜索

文档翻译

学术文献翻译模型,支持多种主流文档格式。

立即体验