Suppr超能文献

如何促进智能喷雾技术在农民合作社中的应用?——基于演化博弈视角

How to promote the adoption of intelligent spray technology in farmers' cooperatives? --Based on the perspective of evolutionary game.

作者信息

Zheng Yangyang, Mei Linfeng

机构信息

Business School, Wenzhou University, Wenzhou, 325035, China.

出版信息

Heliyon. 2023 Sep 7;9(9):e19897. doi: 10.1016/j.heliyon.2023.e19897. eCollection 2023 Sep.

Abstract

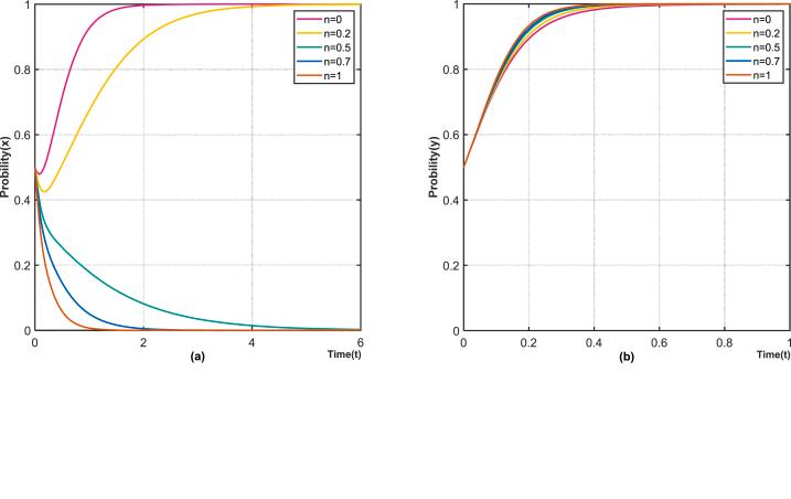
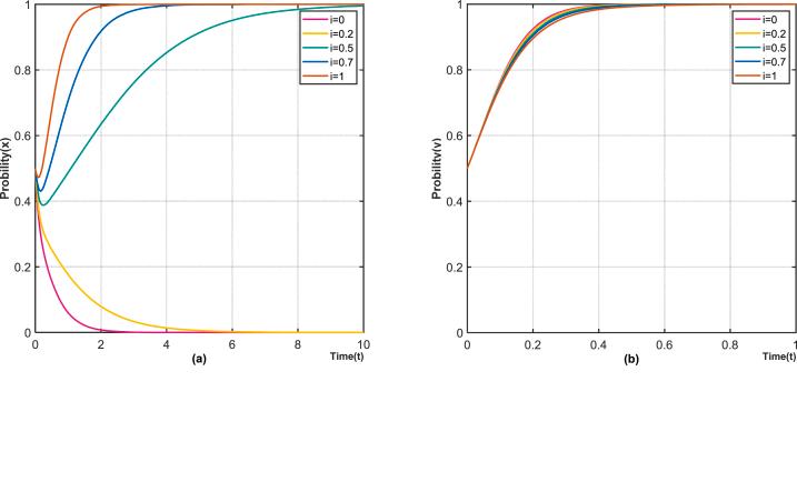
In order to accelerate the development of smart agriculture and realize the green transformation of agriculture, the coupling of prospect theory and evolutionary game theory is introduced. Construct a two-party evolutionary game model for the adoption of intelligent spray technology in farmers' cooperatives, analyze the evolution of farmers' cooperatives and government strategy selection and its influencing factors according to the replication dynamic equation, and conduct numerical simulation experiments through Matlab software. The results show that the adoption of intelligent spray technology by farmers' cooperatives and the government's choice of subsidies are the two optimal stable states of the evolutionary system. The government's subsidy policy can effectively stimulate farmers' cooperatives to adopt intelligent spray technology, but when the government subsidy coefficient is greater than or equal to 70%, the decision-making evolution of the government and farmers' cooperatives is unstable. The increase in farmers' awareness of pesticide hazards, the scale of operation of farmers' cooperatives, the price of high-quality agricultural products, and the sensitivity of farmers' cooperatives to profits and losses contribute to the promotion of intelligent spray technology, and the damage probability of intelligent spray technology has a restraining effect.

摘要

为加快智慧农业发展,实现农业绿色转型,引入前景理论与演化博弈理论的耦合。构建农民合作社采用智能喷雾技术的两方演化博弈模型,依据复制动态方程分析农民合作社与政府策略选择的演化及其影响因素,并通过Matlab软件进行数值模拟实验。结果表明,农民合作社采用智能喷雾技术和政府选择补贴是演化系统的两个最优稳定状态。政府补贴政策能有效激励农民合作社采用智能喷雾技术,但当政府补贴系数大于或等于70%时,政府与农民合作社的决策演化不稳定。农民对农药危害认知的提高、农民合作社经营规模的扩大、优质农产品价格以及农民合作社对盈亏的敏感度有助于智能喷雾技术的推广,而智能喷雾技术的损坏概率具有抑制作用。

https://cdn.ncbi.nlm.nih.gov/pmc/blobs/751c/10559292/6720746b131b/gr1.jpg

文献AI研究员

20分钟写一篇综述,助力文献阅读效率提升50倍。

立即体验

用中文搜PubMed

大模型驱动的PubMed中文搜索引擎

马上搜索

文档翻译

学术文献翻译模型,支持多种主流文档格式。

立即体验