Suppr超能文献

儿童和青少年维生素B12与心理健康的相关性:系统评价与Meta分析

Correlation between Vitamin B12 and Mental Health in Children and Adolescents: A Systematic Review and Meta-analysis.

作者信息

Tan Yongjun, Zhou Li, Gu Kaiqi, Xie Caihong, Wang Yuhan, Cha Lijun, Wu Youlin, Wang Jiani, Song Xiaosong, Chen Xia, Hu Hua, Yang Qin

机构信息

Department of Neurology, The First Affiliated Hospital of Chongqing Medical University, Chongqing, China.

Department of Psychiatry, The First Affiliated Hospital of Chongqing Medical University, Chongqing, China.

出版信息

Clin Psychopharmacol Neurosci. 2023 Nov 30;21(4):617-633. doi: 10.9758/cpn.22.1040. Epub 2023 Jun 2.

Abstract

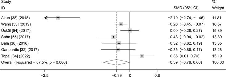
To conduct the association between vitamin B12 and mental health in children and adolescents. Five databases were searched for observational studies in any language reporting on mental health and vitamin B12 levels or intake in children and adolescents from inception to March 18, 2022. Two authors independently extracted data and assessed study quality. Qualitative and quantitative analysis of data were performed. The review was registered in the PROSPERO database (CRD42022345476). Fifty six studies containing 37,932 participants were identified in the review. Vitamin B12 levels were lower in participants with autism spectrum disorders (ASD) (standardized mean difference [SMD], -1.61; 95% confidence interval [95% CI], -2.44 to -0.79; < 0.001), attention deficit hyperactivity disorders (SMD, -0.39; 95% CI, -0.78 to -0.00; = 0.049) compared with control group. Vitamin B12 intake were lower in participants with ASDs (SMD, -0.86; 95% CI, -1.48 to -0.24; = 0.006) compared with control group, but showed no difference between depression group (SMD, -0.06; 95% CI, -0.15 to 0.03; = 0.17) and the control group. Higher vitamin B12 intake were associated with lower risk of depression (odds ratio [OR], 0.79; 95% CI, 0.63-0.98; = 0.034) and behavioral problems (OR, 0.83; 95% CI, 0.69-0.99; = 0.04). The vast majority of included studies supported potential positive influence of vitamin B12 on mental health, and vitamin B12 deficiency may be a reversible cause for some mental health disorders in children and adolescents.

摘要

为了研究儿童和青少年中维生素B12与心理健康之间的关联。检索了五个数据库,查找从数据库建立至2022年3月18日期间,以任何语言发表的关于儿童和青少年心理健康以及维生素B12水平或摄入量的观察性研究。两位作者独立提取数据并评估研究质量。对数据进行了定性和定量分析。该综述已在PROSPERO数据库(CRD42022345476)中注册。综述中确定了56项研究,共纳入37,932名参与者。与对照组相比,自闭症谱系障碍(ASD)参与者的维生素B12水平较低(标准化均值差[SMD],-1.61;95%置信区间[95%CI],-2.44至-0.79;<0.001),注意缺陷多动障碍参与者的维生素B12水平也较低(SMD,-0.39;95%CI,-0.78至-0.00;=0.049)。与对照组相比,ASD参与者的维生素B12摄入量较低(SMD,-0.86;95%CI,-1.48至-0.24;=0.006),但抑郁症组与对照组之间的维生素B12摄入量无差异(SMD,-0.06;95%CI,-0.15至0.03;=0.17)。较高的维生素B12摄入量与较低的抑郁症风险(优势比[OR],0.79;95%CI,0.63 - 0.98;=0.034)和行为问题风险(OR,0.83;95%CI,0.69 - 0.99;=0.04)相关。绝大多数纳入研究支持维生素B12对心理健康具有潜在积极影响,维生素B12缺乏可能是儿童和青少年某些心理健康障碍的一个可逆转原因。

https://cdn.ncbi.nlm.nih.gov/pmc/blobs/8b74/10591166/6d796bda21cb/cpn-21-4-617-f1.jpg

文献AI研究员

20分钟写一篇综述,助力文献阅读效率提升50倍。

立即体验

用中文搜PubMed

大模型驱动的PubMed中文搜索引擎

马上搜索

文档翻译

学术文献翻译模型,支持多种主流文档格式。

立即体验