Suppr超能文献

通过循环细胞因子谱对冠心病患者进行分层:一项初步研究。

Stratification of Patients with Coronary Artery Disease by Circulating Cytokines Profile: A Pilot Study.

作者信息

Iside Concetta, Affinito Ornella, Punzo Bruna, Salvatore Marco, Mirabelli Peppino, Cavaliere Carlo, Franzese Monica

机构信息

IRCCS SYNLAB SDN, Via Emanuele Gianturco, 113, 80143 Naples, Italy.

Department of Pediatric Hemato-Oncology, Santobono-Pausilipon Children's Hospital, AORN, 80122 Naples, Italy.

出版信息

J Clin Med. 2023 Oct 20;12(20):6649. doi: 10.3390/jcm12206649.

Abstract

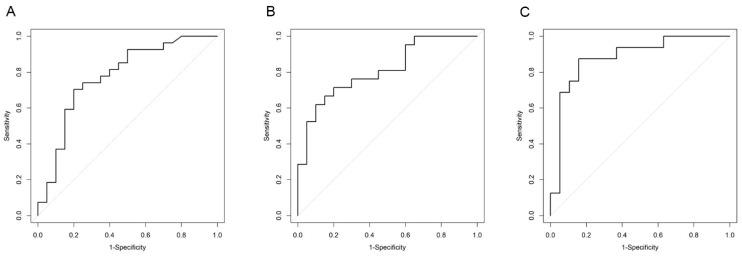
Coronary artery disease (CAD) is a long-term inflammatory process, with atherosclerosis as its underlying pathophysiological mechanism. Endothelial dysfunction is the first step towards atherosclerosis, where damaged endothelial cells release large amounts of pro-inflammatory cytokines and mediators, thus promoting vascular inflammation and disease progression. However, the correlation between serum cytokines and CAD severity remains to be defined. Serum samples from patients performing cardiac computed tomography for suspected CAD ( = 75) were analyzed with a multiplex bead-based immunoassay panel for simultaneous assessment of the concentration of 11 cytokines using flow cytometric technology. The analysis showed statistically significant increases in sRAGE, CCL2_MCP1, FLT1, and IL6 levels in CAD patients compared with healthy subjects and a gradual increase trend towards a more severe form of the disease for most cytokines (e.g., sCD40L, FLT1, sRAGE, CCL2-MCP1, TNFα). Lastly, we explored the performance of cytokines in predicting the diagnosis of CAD and found that an increase in IL6 levels will increase the odds of being non-obstructive CAD-positive. In contrast, an increase in CCL2-MCP1 or FLT1 levels will increase the probability of being obstructive CAD-positive. These results suggest that the combination of serum cytokines may contribute to the not-invasive stratification risk for patients with suspected CAD.

摘要

冠状动脉疾病(CAD)是一个长期的炎症过程,动脉粥样硬化是其潜在的病理生理机制。内皮功能障碍是动脉粥样硬化的第一步,受损的内皮细胞会释放大量促炎细胞因子和介质,从而促进血管炎症和疾病进展。然而,血清细胞因子与CAD严重程度之间的相关性仍有待确定。对因疑似CAD而进行心脏计算机断层扫描的患者(n = 75)的血清样本,使用基于多重微珠的免疫分析试剂盒进行分析,采用流式细胞术同时评估11种细胞因子的浓度。分析显示,与健康受试者相比,CAD患者的sRAGE、CCL2_MCP1、FLT1和IL6水平在统计学上显著升高,并且大多数细胞因子(如sCD40L、FLT1、sRAGE、CCL2-MCP1、TNFα)呈现出随着疾病严重程度增加而逐渐上升的趋势。最后,我们探讨了细胞因子在预测CAD诊断中的性能,发现IL6水平升高会增加非阻塞性CAD阳性的几率。相反,CCL2-MCP1或FLT1水平升高会增加阻塞性CAD阳性的概率。这些结果表明,血清细胞因子的组合可能有助于对疑似CAD患者进行非侵入性分层风险评估。

https://cdn.ncbi.nlm.nih.gov/pmc/blobs/4fec/10607348/d2337ba1b825/jcm-12-06649-g001.jpg

文献AI研究员

20分钟写一篇综述,助力文献阅读效率提升50倍。

立即体验

用中文搜PubMed

大模型驱动的PubMed中文搜索引擎

马上搜索

文档翻译

学术文献翻译模型,支持多种主流文档格式。

立即体验