Suppr超能文献

基因相关性作为减肥手术1年后疗效的预测指标

Genetic Correlates as a Predictor of Bariatric Surgery Outcomes after 1 Year.

作者信息

Thanos Panayotis K, Hanna Colin, Mihalkovic Abrianna, Hoffman Aaron, Posner Alan, Butsch John, Blum Kenneth, Georger Lesley, Mastrandrea Lucy D, Quattrin Teresa

机构信息

Behavioral Neuropharmacology and Neuroimaging Laboratory on Addictions, Department of Pharmacology and Toxicology, Clinical Research Institute on Addictions, Jacobs School of Medicine and Biosciences, University at Buffalo, Buffalo, NY 14203, USA.

Department of Psychology, University at Buffalo, Buffalo, NY 14203, USA.

出版信息

Biomedicines. 2023 Sep 27;11(10):2644. doi: 10.3390/biomedicines11102644.

Abstract

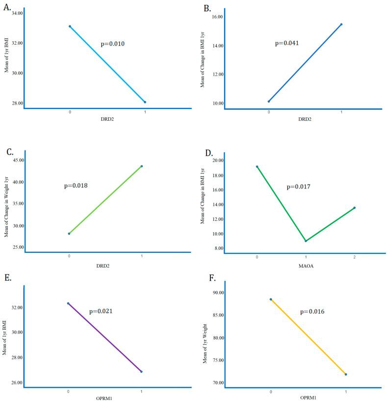
This study analyzed genetic risk assessments in patients undergoing bariatric surgery to serve as a predictive factor for weight loss parameters 1 year after the operation. Thirty (30) patients were assessed for Genetic Addiction Risk Severity (GARS), which analyzes neurogenetic polymorphisms involved in addiction and reward deficiency. Genetic and psychosocial data collected before the operation were correlated with weight loss data, including changes in weight, body mass index (BMI), and percent of expected weight loss (%EWL). Results examined correlations between individual gene risk alleles, 1-year body weight data, and psychosocial trait scores. Spearman's correlations revealed that the (rs1799971) gene polymorphism had significant negative correlation with 1-year weight (r = -0.4477, < 0.01) and BMI (r = -0.4477, < 0.05). In addition, the risk allele (rs1800497) was correlated negatively with BMI at 1 year (r = -0.4927, < 0.05), indicating that one risk allele copy was associated with lower BMI. However, this allele was positively correlated with both ∆Weight (r = 0.4077, < 0.05) and %EWL (r = 0.5521, < 0.05) at 1 year post-surgery. Moreover, the overall GARS score was correlated with %EWL (r = 0.4236, < 0.05), ∆Weight (r = 0.3971, < 0.05) and ∆BMI (r = 0.3778, < 0.05). Lastly, Food Cravings Questionnaire (FCQ) scores were negatively correlated with %EWL (r = -0.4320, < 0.05) and ∆Weight at 1 year post-surgery (r = -0.4294, < 0.05). This suggests that individuals with a higher genetic addiction risk are more responsive to weight loss treatment, especially in the case of the polymorphism. These results should translate clinically to improve positivity and attitude related to weight management by those individuals born with the risk alleles (rs1800497; rs1799971).

摘要

本研究分析了接受减肥手术患者的遗传风险评估,以作为术后1年体重减轻参数的预测因素。对30名患者进行了遗传成瘾风险严重程度(GARS)评估,该评估分析了与成瘾和奖赏缺乏相关的神经遗传多态性。术前收集的遗传和社会心理数据与体重减轻数据相关,包括体重变化、体重指数(BMI)和预期体重减轻百分比(%EWL)。结果检验了个体基因风险等位基因、1年体重数据和社会心理特征评分之间的相关性。Spearman相关性分析显示,(rs1799971)基因多态性与1年体重(r = -0.4477,<0.01)和BMI(r = -0.4477,<0.05)呈显著负相关。此外,风险等位基因(rs1800497)与术后1年的BMI呈负相关(r = -0.4927,<0.05),表明一个风险等位基因拷贝与较低的BMI相关。然而,该等位基因与术后1年的体重变化(∆体重,r = 0.4077,<0.05)和%EWL(r = 0.5521,<0.05)均呈正相关。此外,总体GARS评分与%EWL(r = 0.4236,<0.05)、∆体重(r = 0.3971,<0.05)和∆BMI(r = 0.3778,<0.05)相关。最后,食物渴望问卷(FCQ)评分与术后1年的%EWL(r = -0.4320,<0.05)和∆体重(r = -0.4294,<0.05)呈负相关。这表明遗传成瘾风险较高的个体对体重减轻治疗反应更强,尤其是在存在多态性的情况下。这些结果在临床上应有助于改善携带风险等位基因(rs1800497;rs1799971)个体对体重管理的积极性和态度。

https://cdn.ncbi.nlm.nih.gov/pmc/blobs/de22/10603884/b967b8cc75c1/biomedicines-11-02644-g001.jpg

文献AI研究员

20分钟写一篇综述,助力文献阅读效率提升50倍。

立即体验

用中文搜PubMed

大模型驱动的PubMed中文搜索引擎

马上搜索

文档翻译

学术文献翻译模型,支持多种主流文档格式。

立即体验