Suppr超能文献

比较分析四种营养评分预测 PCI 后急性冠脉综合征老年患者发生主要不良心血管事件的发生率。

Comparative analysis of four nutritional scores predicting the incidence of MACE in older adults with acute coronary syndromes after PCI.

机构信息

Graduate School of Hebei North University, Zhangjiakou, 075031, Hebei, China.

Department of Cardiovascular Medicine, Air Force Characteristic Medical Center, Beijing, 100142, China.

出版信息

Sci Rep. 2023 Nov 21;13(1):20333. doi: 10.1038/s41598-023-47793-3.

Abstract

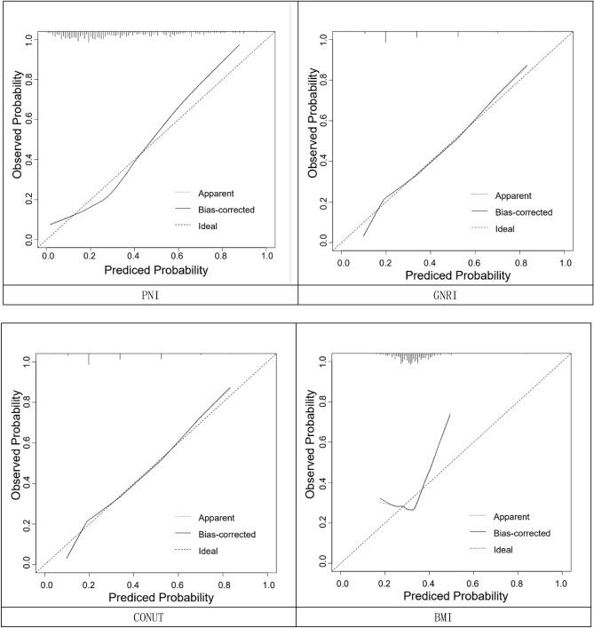
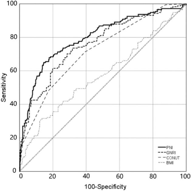
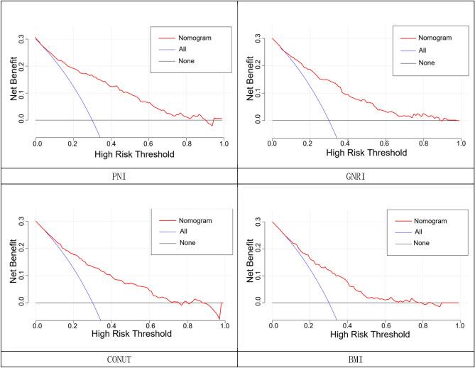
To determine the most appropriate nutritional assessment tool for predicting the occurrence of major adverse cardiovascular events (MACE) within 1 year in elderly ACS patients undergoing PCI from four nutritional assessment tools including PNI, GNRI, CONUT, and BMI. Consecutive cases diagnosed with acute coronary syndrome (ACS) and underwent percutaneous coronary intervention (PCI) in the Department of Cardiovascular Medicine of the Air force characteristic medical center from 1 January 2020 to 1 April 2022 were retrospectively collected. The basic clinical characteristics and relevant test and examination indexes were collected uniformly, and the cases were divided into the MACE group (174 cases) and the non-MACE group (372 cases) according to whether a major adverse cardiovascular event (MACE) had occurred within 1 year. Predictive models were constructed to assess the nutritional status of patients with the Prognostic Nutritional Index (PNI), Geriatric Nutritional Risk Index (GNRI), Controlling nutritional status (CONUT) scores, and Body Mass Index (BMI), respectively, and to analyze their relationship with prognosis. The incremental value of the four nutritional assessment tools in predicting risk was compared using the Integrated Discriminant Improvement (IDI) and the net reclassification improvement (NRI). The predictive effect of each model on the occurrence of major adverse cardiovascular events (MACE) within 1 year in elderly ACS patients undergoing PCI was assessed using area under the ROC curve (AUC), calibration curves, decision analysis curves, and clinical impact curves; comparative analyses were performed. Among the four nutritional assessment tools, the area under the curve (AUC) was significantly higher for the PNI (AUC: 0.798, 95%CI 0.755-0.840 P < 0.001) and GNRI (AUC: 0.760, 95%CI 0.715-0.804 P < 0.001) than for the CONUT (AUC: 0.719,95%CI 0.673-0.765 P < 0.001) and BMI (AUC: 0.576, 95%CI 0.522-0.630 P < 0.001). The positive predictive value (PPV) of PNI: 67.67% was better than GNRI, CONUT, and BMI, and the negative predictive value (NPV): of 83.90% was better than CONUT and BMI and similar to the NPV of GNRI. The PNI, GNRI, and CONUT were compared with BMI, respectively. The PNI had the most significant improvement in the Integrated Discriminant Improvement Index (IDI) (IDI: 0.1732, P < 0.001); the PNI also had the most significant improvement in the Net Reclassification Index (NRI) (NRI: 0.8185, P < 0.001). In addition, of the four nutritional assessment tools used in this study, the PNI was more appropriate for predicting the occurrence of major adverse cardiovascular events (MACE) within 1 year in elderly ACS patients undergoing PCI.

摘要

为了从包括 PNI、GNRI、CONUT 和 BMI 在内的四种营养评估工具中确定最适合预测行经皮冠状动脉介入治疗(PCI)的老年急性冠脉综合征(ACS)患者 1 年内发生主要不良心血管事件(MACE)的营养评估工具。回顾性收集 2020 年 1 月 1 日至 2022 年 4 月 1 日期间在空军特色医学中心心血管医学科诊断为急性冠脉综合征(ACS)并接受经皮冠状动脉介入治疗(PCI)的连续病例。统一收集基本临床特征及相关检验检查指标,根据 1 年内是否发生主要不良心血管事件(MACE)将病例分为 MACE 组(174 例)和非 MACE 组(372 例)。分别采用预后营养指数(PNI)、老年营养风险指数(GNRI)、控制营养状态(CONUT)评分和体重指数(BMI)评估患者的营养状况,并分析其与预后的关系。采用整合判别改善(IDI)和净重新分类改善(NRI)比较四种营养评估工具在预测风险方面的增量价值。采用受试者工作特征曲线下面积(AUC)、校准曲线、决策分析曲线和临床影响曲线评估各模型对老年 ACS 患者行 PCI 后 1 年内发生主要不良心血管事件(MACE)的预测效果,并进行比较分析。在四种营养评估工具中,PNI(AUC:0.798,95%CI 0.755-0.840,P<0.001)和 GNRI(AUC:0.760,95%CI 0.715-0.804,P<0.001)的曲线下面积(AUC)明显高于 CONUT(AUC:0.719,95%CI 0.673-0.765,P<0.001)和 BMI(AUC:0.576,95%CI 0.522-0.630,P<0.001)。PNI 的阳性预测值(PPV):67.67%优于 GNRI、CONUT 和 BMI,阴性预测值(NPV):83.90%优于 CONUT 和 BMI,与 GNRI 的 NPV 相似。将 PNI、GNRI 和 CONUT 分别与 BMI 进行比较,PNI 的综合判别改善指数(IDI)(IDI:0.1732,P<0.001)有最大的显著改善,PNI 的净重新分类指数(NRI)(NRI:0.8185,P<0.001)也有最大的显著改善。此外,在本研究中使用的四种营养评估工具中,PNI 更适合预测行 PCI 的老年 ACS 患者 1 年内发生主要不良心血管事件(MACE)。

https://cdn.ncbi.nlm.nih.gov/pmc/blobs/1d9f/10663484/0727d99e0da5/41598_2023_47793_Fig1_HTML.jpg

文献AI研究员

20分钟写一篇综述,助力文献阅读效率提升50倍。

立即体验

用中文搜PubMed

大模型驱动的PubMed中文搜索引擎

马上搜索

文档翻译

学术文献翻译模型,支持多种主流文档格式。

立即体验