Suppr超能文献

谷胱甘肽S-转移酶在人类疾病中的过表达:药物靶点与治疗意义

Overexpression of Glutathione S-Transferases in Human Diseases: Drug Targets and Therapeutic Implications.

作者信息

Lv Ning, Huang Chunyan, Huang Haoyan, Dong Zhiqiang, Chen Xijing, Lu Chengcan, Zhang Yongjie

机构信息

Clinical Pharmacology Research Center, School of Basic Medicine and Clinical Pharmacy, China Pharmaceutical University, Nanjing 211198, China.

Department of Pharmacy, The Affiliated Jiangning Hospital of Nanjing Medical University, Nanjing 211100, China.

出版信息

Antioxidants (Basel). 2023 Nov 6;12(11):1970. doi: 10.3390/antiox12111970.

Abstract

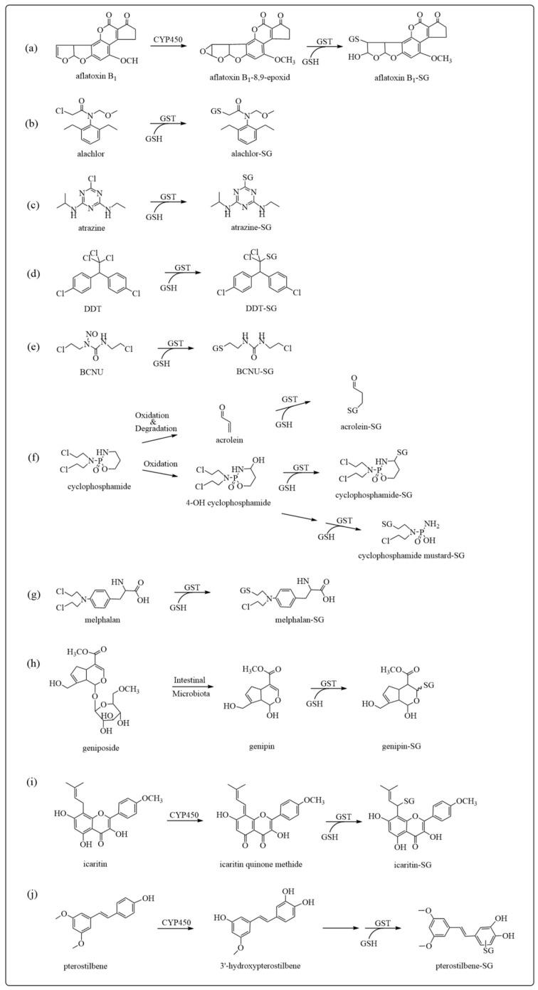
Glutathione S-transferases (GSTs) are a major class of phase II metabolic enzymes. Besides their essential role in detoxification, GSTs also exert diverse biological activities in the occurrence and development of various diseases. In the past few decades, much research interest has been paid to exploring the mechanisms of GST overexpression in tumor drug resistance. Correspondingly, many GST inhibitors have been developed and applied, solely or in combination with chemotherapeutic drugs, for the treatment of multi-drug resistant tumors. Moreover, novel roles of GSTs in other diseases, such as pulmonary fibrosis and neurodegenerative diseases, have been recognized in recent years, although the exact regulatory mechanisms remain to be elucidated. This review, firstly summarizes the roles of GSTs and their overexpression in the above-mentioned diseases with emphasis on the modulation of cell signaling pathways and protein functions. Secondly, specific GST inhibitors currently in pre-clinical development and in clinical stages are inventoried. Lastly, applications of GST inhibitors in targeting cell signaling pathways and intracellular biological processes are discussed, and the potential for disease treatment is prospected. Taken together, this review is expected to provide new insights into the interconnection between GST overexpression and human diseases, which may assist future drug discovery targeting GSTs.

摘要

谷胱甘肽S-转移酶(GSTs)是主要的Ⅱ相代谢酶类。除了在解毒过程中发挥重要作用外,GSTs在多种疾病的发生发展过程中也具有多种生物学活性。在过去几十年中,人们对探索GST在肿瘤耐药中过表达的机制产生了浓厚的研究兴趣。相应地,许多GST抑制剂已被研发出来,并单独或与化疗药物联合应用于多药耐药肿瘤的治疗。此外,近年来GSTs在其他疾病(如肺纤维化和神经退行性疾病)中的新作用也已得到认识,尽管确切的调控机制仍有待阐明。本综述首先总结了GSTs及其过表达在上述疾病中的作用,重点阐述了对细胞信号通路和蛋白质功能的调节。其次,盘点了目前处于临床前开发和临床阶段的特异性GST抑制剂。最后,讨论了GST抑制剂在靶向细胞信号通路和细胞内生物学过程中的应用,并展望了其疾病治疗潜力。综上所述,本综述有望为GST过表达与人类疾病之间的内在联系提供新的见解,这可能有助于未来针对GSTs的药物发现。

https://cdn.ncbi.nlm.nih.gov/pmc/blobs/7f0d/10668987/7c384fabf90f/antioxidants-12-01970-g012.jpg

文献AI研究员

20分钟写一篇综述,助力文献阅读效率提升50倍。

立即体验

用中文搜PubMed

大模型驱动的PubMed中文搜索引擎

马上搜索

文档翻译

学术文献翻译模型,支持多种主流文档格式。

立即体验