Suppr超能文献

设计、合成及鉴定细胞外信号调节激酶 1/2 降解剂的蛋白酶靶向嵌合体及其抗肿瘤活性评价。

Design, Synthesis, and Antitumor Activity Evaluation of Proteolysis-Targeting Chimeras as Degraders of Extracellular Signal-Regulated Kinases 1/2.

机构信息

State Key Laboratory of Natural and Biomimetic Drugs, School of Pharmaceutical Sciences, Peking University, Beijing 100191, China.

出版信息

Int J Mol Sci. 2023 Nov 14;24(22):16290. doi: 10.3390/ijms242216290.

Abstract

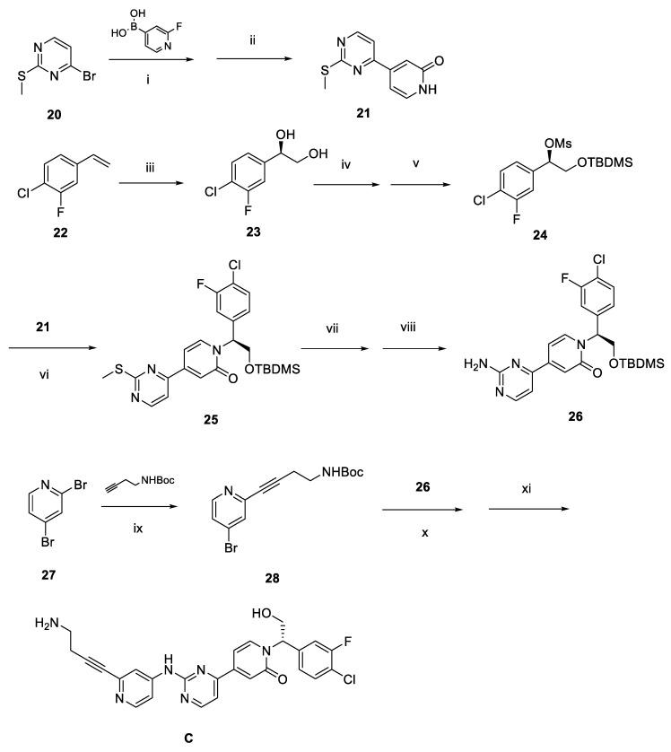
Inhibition of the extracellular signal-regulated kinases 1/2 (ERK1/2) alone or in combination with other targets has emerged as a promising treatment strategy for a variety of human tumors. In addition to the development of inhibitors, the development of ERK1/2 degraders is an alternative approach to decrease its activity. We synthesized proteolysis-targeting chimeras (PROTACs) as effective ERK1/2 degraders, among which showed high degradative activity, with DC of 102 nM and cytotoxic IC of 2.2 μM against HCT116 cells. Moreover, dose-dependently inhibited tumor cell migration. Xenograft experiments in nude mice demonstrated that inhibited HCT116 tumor cell growth and achieved significant regression of tumors at a daily dose of 25 mg/kg.

摘要

单独抑制细胞外信号调节激酶 1/2(ERK1/2)或与其他靶点联合抑制已成为多种人类肿瘤的一种很有前途的治疗策略。除了开发抑制剂外,开发 ERK1/2 降解剂是降低其活性的另一种方法。我们合成了蛋白水解靶向嵌合体(PROTACs)作为有效的 ERK1/2 降解剂,其中 表现出高降解活性,对 HCT116 细胞的 DC 为 102 nM,细胞毒性 IC 为 2.2 μM。此外, 还剂量依赖性地抑制肿瘤细胞迁移。裸鼠异种移植实验表明, 以 25mg/kg/天的剂量抑制 HCT116 肿瘤细胞生长,并实现肿瘤的显著消退。

https://cdn.ncbi.nlm.nih.gov/pmc/blobs/d1f5/10671693/1ea45a1f0d27/ijms-24-16290-g001.jpg

文献AI研究员

20分钟写一篇综述,助力文献阅读效率提升50倍。

立即体验

用中文搜PubMed

大模型驱动的PubMed中文搜索引擎

马上搜索

文档翻译

学术文献翻译模型,支持多种主流文档格式。

立即体验