Suppr超能文献

鉴定 2,4-二氨基喹唑啉衍生物作为一种对抗基孔肯雅热和罗斯河病毒的潜在小分子抑制剂。

Identification of 2,4-Diaminoquinazoline Derivative as a Potential Small-Molecule Inhibitor against Chikungunya and Ross River Viruses.

机构信息

Virology Division, Defence Research & Development Establishment, Gwalior 474002, India.

Department of Molecular Genetics and Microbiology, University of New Mexico Health Sciences Center, Albuquerque, NM 87131, USA.

出版信息

Viruses. 2023 Oct 31;15(11):2194. doi: 10.3390/v15112194.

Abstract

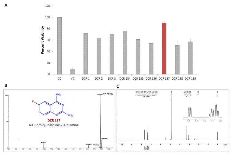
Alphaviruses are serious zoonotic threats responsible for significant morbidity, causing arthritis or encephalitis. So far, no licensed drugs or vaccines are available to combat alphaviral infections. About 300,000 chikungunya virus (CHIKV) infections have been reported in 2023, with more than 300 deaths, including reports of a few cases in the USA as well. The discovery and development of small-molecule drugs have been revolutionized over the last decade. Here, we employed a cell-based screening approach using a series of in-house small-molecule libraries to test for their ability to inhibit CHIKV replication. DCR 137, a quinazoline derivative, was found to be the most potent inhibitor of CHIKV replication in our screening assay. Both, the cytopathic effect, and immunofluorescence of infected cells were reduced in a dose-dependent manner with DCR 137 post-treatment. Most importantly, DCR 137 was more protective than the traditional ribavirin drug and reduced CHIKV plaque-forming units by several log units. CHIKV-E2 protein levels were also reduced in a dose-dependent manner. Further, DCR 137 was probed for its antiviral activity against another alphavirus, the Ross River virus, which revealed effective inhibition of viral replication. These results led to the identification of a potential quinazoline candidate for future optimization that might act as a pan-alphavirus inhibitor.

摘要

甲病毒是严重的人畜共患病威胁,可导致关节炎或脑炎,发病率高。迄今为止,尚无针对甲病毒感染的许可药物或疫苗。2023 年已报告约 30 万例基孔肯雅热病毒(CHIKV)感染,超过 300 人死亡,包括美国的少数几例报告。过去十年,小分子药物的发现和开发发生了革命性变化。在这里,我们采用了基于细胞的筛选方法,使用一系列内部小分子文库来测试它们抑制 CHIKV 复制的能力。在我们的筛选试验中,喹唑啉衍生物 DCR 137 被发现是抑制 CHIKV 复制最有效的抑制剂。在用 DCR 137 进行治疗后,细胞病变效应和感染细胞的免疫荧光均呈剂量依赖性降低。最重要的是,DCR 137 比传统的利巴韦林药物更具保护作用,可使 CHIKV 蚀斑形成单位减少几个对数级。CHIKV-E2 蛋白水平也呈剂量依赖性降低。此外,还研究了 DCR 137 对另一种甲病毒,即罗斯河病毒的抗病毒活性,结果表明它能有效抑制病毒复制。这些结果导致确定了一种可能作为泛甲病毒抑制剂的潜在喹唑啉候选物,以供进一步优化。

https://cdn.ncbi.nlm.nih.gov/pmc/blobs/4b89/10674894/d797e20e8670/viruses-15-02194-g001.jpg

文献AI研究员

20分钟写一篇综述,助力文献阅读效率提升50倍。

立即体验

用中文搜PubMed

大模型驱动的PubMed中文搜索引擎

马上搜索

文档翻译

学术文献翻译模型,支持多种主流文档格式。

立即体验