Suppr超能文献

根据CD4计数和CD4/CD8比值观察HIV感染者对SARS-CoV-2 mRNA疫苗的反应

SARS-CoV-2 mRNA Vaccine Response in People Living with HIV According to CD4 Count and CD4/CD8 Ratio.

作者信息

Vergori Alessandra, Tavelli Alessandro, Matusali Giulia, Azzini Anna Maria, Augello Matteo, Mazzotta Valentina, Pellicanò Giovanni Francesco, Costantini Andrea, Cascio Antonio, De Vito Andrea, Marconi Lorenzo, Righi Elda, Sartor Assunta, Pinnetti Carmela, Maggi Fabrizio, Bai Francesca, Lanini Simone, Piconi Stefania, Levy Hara Gabriel, Marchetti Giulia, Giannella Maddalena, Tacconelli Evelina, d'Arminio Monforte Antonella, Antinori Andrea, Cozzi-Lepri Alessandro

机构信息

HIV/AIDS Unit, National Institute for Infectious Diseases Lazzaro Spallanzani IRCCS, 00149 Rome, Italy.

Icona Foundation, 20142 Milan, Italy.

出版信息

Vaccines (Basel). 2023 Oct 30;11(11):1664. doi: 10.3390/vaccines11111664.

Abstract

BACKGROUND

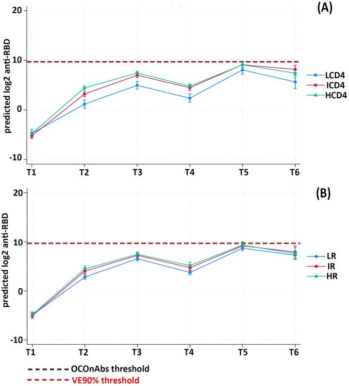
Our aim was to estimate the rates of not achieving a robust/above-average humoral response to the COVID-19 mRNA vaccine in people living with HIV (PLWH) who received ≥2 doses and to investigate the role of the CD4 and CD4/CD8 ratio in predicting the humoral response.

METHODS

We evaluated the humoral anti-SARS-CoV-2 response 1-month after the second and third doses of COVID-19 mRNA vaccine as a proportion of not achieving a robust/above-average response using two criteria: (i) a humoral threshold identified as a correlate of protection against SARS-CoV-2 (<90% vaccine efficacy): anti-RBD < 775 BAU/mL or anti-S < 298 BAU/mL, (ii) threshold of binding antibodies equivalent to average neutralization activity from the levels of binding (nAb titer < 1:40): anti-RBD < 870 BAU/mL or anti-S < 1591 BAU/mL. PLWH were stratified according to the CD4 count and CD4/CD8 ratio at first dose. Logistic regression was used to compare the probability of not achieving robust/above-average responses. A mixed linear model was used to estimate the mean anti-RBD titer at various time points across the exposure groups.

RESULTS

a total of 1176 PLWH were included. The proportions of participants failing to achieve a robust/above-average response were significantly higher in participants with a lower CD4 and CD4/CD8 ratio, specifically, a clearer gradient was observed for the CD4 count. The CD4 count was a better predictor of the humoral response of the primary cycle than ratio. The third dose was pivotal in achieving a robust/above-average humoral response, at least for PLWH with CD4 > 200 cells/mm and a ratio > 0.6.

CONCLUSIONS

A robust humoral response after a booster dose has not been reached by 50% of PLWH with CD4 < 200 cells mm. In the absence of a validated correlate of protections in the Omicron era, the CD4 count remains the most solid marker to guide vaccination campaigns in PLWH.

摘要

背景

我们的目的是评估接受≥2剂新冠病毒mRNA疫苗的HIV感染者(PLWH)中未产生强烈/高于平均水平的体液免疫反应的比例,并研究CD4细胞计数和CD4/CD8比值在预测体液免疫反应中的作用。

方法

我们在第二剂和第三剂新冠病毒mRNA疫苗接种1个月后,使用以下两个标准评估体液抗SARS-CoV-2反应中未产生强烈/高于平均水平反应的比例:(i)确定为与预防SARS-CoV-2相关的体液阈值(疫苗效力<90%):抗RBD<775 BAU/mL或抗S<298 BAU/mL,(ii)与结合水平的平均中和活性相当的结合抗体阈值(nAb滴度<1:40):抗RBD<870 BAU/mL或抗S<1591 BAU/mL。PLWH根据首剂时的CD4细胞计数和CD4/CD8比值进行分层。使用逻辑回归比较未产生强烈/高于平均水平反应的概率。使用混合线性模型估计各暴露组在不同时间点的平均抗RBD滴度。

结果

共纳入1176例PLWH。CD4细胞计数和CD4/CD8比值较低的参与者中,未产生强烈/高于平均水平反应的比例显著更高,具体而言,CD4细胞计数呈现出更明显的梯度。CD4细胞计数比比值更能预测初次免疫周期的体液免疫反应。第三剂对于实现强烈/高于平均水平的体液免疫反应至关重要,至少对于CD4>200个细胞/mm³且比值>0.6的PLWH是如此。

结论

CD4<200个细胞/mm³的PLWH中,有50%在加强剂量后未达到强烈的体液免疫反应。在奥密克戎时代缺乏经过验证的保护相关指标的情况下,CD4细胞计数仍然是指导PLWH疫苗接种的最可靠指标。

https://cdn.ncbi.nlm.nih.gov/pmc/blobs/5493/10675416/e0f433ee3146/vaccines-11-01664-g001.jpg

文献AI研究员

20分钟写一篇综述,助力文献阅读效率提升50倍。

立即体验

用中文搜PubMed

大模型驱动的PubMed中文搜索引擎

马上搜索

文档翻译

学术文献翻译模型,支持多种主流文档格式。

立即体验