Suppr超能文献

通过调节非水力根系信号和抗氧化防御,叶面喷施独脚金内酯可提高旱地小麦的耐旱性、籽粒产量和水分利用效率。

Foliar application of strigolactones improves the desiccation tolerance, grain yield and water use efficiency in dryland wheat through modulation of non-hydraulic root signals and antioxidant defense.

作者信息

Guo Sha, Wei Xiaofei, Ma Baoluo, Ma Yongqing, Yu Zihan, Li Pufang

机构信息

College of Forestry, Northwest A&F University, Shaanxi, 712000, Yangling, China.

College of Soil and Water Conservation Science and Engineering, Northwest A&F University, Shaanxi, 712000, Yangling, China.

出版信息

Stress Biol. 2023 Dec 6;3(1):54. doi: 10.1007/s44154-023-00127-9.

Abstract

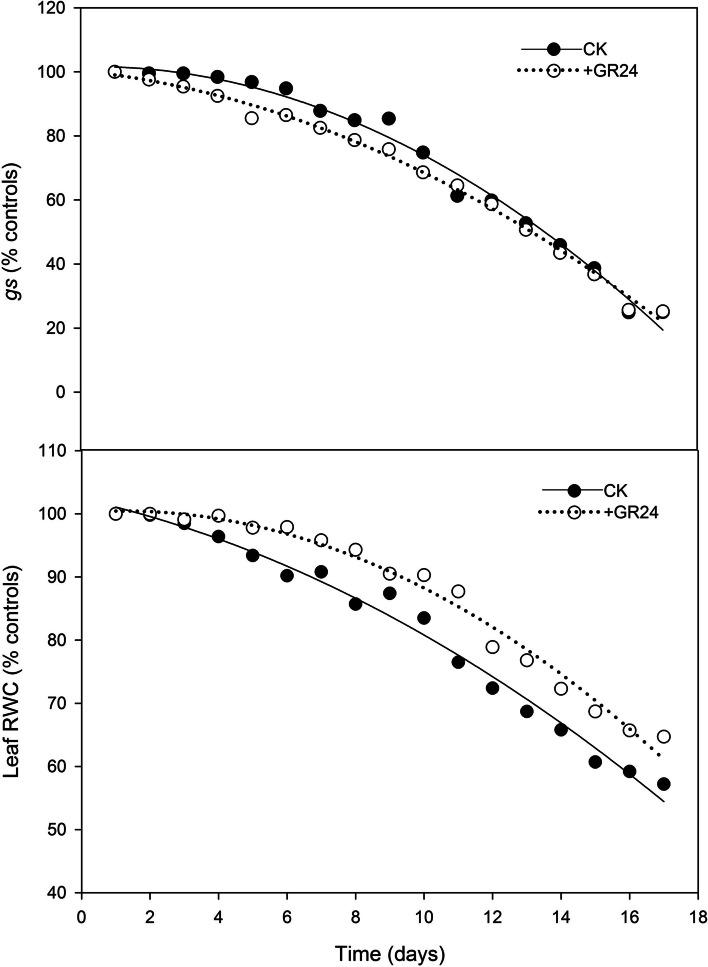
Non-hydraulic root signals (nHRS) are affirmed as a unique positive response to soil drying, and play a crucial role in regulating water use efficiency and yield formation in dryland wheat production. Strigolactones (SLs) can enhance plant drought adaptability. However, the question of whether strigolactones enhance grain yield and water use efficiency by regulating nHRS and antioxidant defense systems in dryland wheat remains unanswered. In this study, pot experiments were conducted to investigate the effects of strigolactones on nHRS, antioxidant defense system, and grain yield and water use efficiency in dryland wheat. The results showed that external application of SLs increased drought-induced abscisic acid (ABA) accumulation and activated an earlier trigger of nHRS at 73.4% field capacity (FC), compared to 68.5% FC in the control group (CK). This phenomenon was mechanically associated with the physiological mediation of SLs. The application of SLs significantly enhanced the activities of leaf antioxidant enzymes, reduced ROS production, and mitigated oxidative damage to lipid membrane. Additionally, root biomass, root length density, and root to shoot ratio were increased under strigolactone treatment. Furthermore, exogenous application of SLs significantly increased grain yield by 34.9% under moderate drought stress. Water use efficiency was also increased by 21.5% and 33.3% under moderate and severe drought conditions respectively, compared to the control group (CK). The results suggested that the application of strigolactones triggered earlier drought-sensing mechanism and improved the antioxidant defense ability, thus enhancing grain yield and water use efficiency in dryland wheat production.

摘要

非水力根源信号(nHRS)被确认为对土壤干旱的一种独特的积极响应,在旱地小麦生产中调节水分利用效率和产量形成方面发挥着关键作用。独脚金内酯(SLs)可以增强植物的干旱适应性。然而,独脚金内酯是否通过调节旱地小麦的非水力根源信号和抗氧化防御系统来提高籽粒产量和水分利用效率这一问题仍未得到解答。在本研究中,通过盆栽试验来探究独脚金内酯对旱地小麦非水力根源信号、抗氧化防御系统以及籽粒产量和水分利用效率的影响。结果表明,与对照组(CK)在田间持水量68.5%时相比,外源施加独脚金内酯增加了干旱诱导的脱落酸(ABA)积累,并在田间持水量73.4%时更早地触发了非水力根源信号。这种现象与独脚金内酯的生理调节机制相关。施加独脚金内酯显著增强了叶片抗氧化酶的活性,减少了活性氧的产生,并减轻了对脂质膜的氧化损伤。此外,在独脚金内酯处理下,根生物量、根长密度和根冠比均有所增加。此外,在中度干旱胁迫下,外源施加独脚金内酯显著提高了籽粒产量34.9%。与对照组(CK)相比,在中度和重度干旱条件下水分利用效率分别提高了21.5%和33.3%。结果表明,独脚金内酯的施用触发了更早的干旱感知机制,提高了抗氧化防御能力,从而提高了旱地小麦生产中的籽粒产量和水分利用效率。

https://cdn.ncbi.nlm.nih.gov/pmc/blobs/6dee/10700292/3045d4a8284e/44154_2023_127_Fig1_HTML.jpg

文献AI研究员

20分钟写一篇综述,助力文献阅读效率提升50倍。

立即体验

用中文搜PubMed

大模型驱动的PubMed中文搜索引擎

马上搜索

文档翻译

学术文献翻译模型,支持多种主流文档格式。

立即体验