Suppr超能文献

肠道微生物群与 NAFLD/NASH 的关联:一项双向两样本 Mendelian 随机研究。

Association between gut microbiota and NAFLD/NASH: a bidirectional two-sample Mendelian randomization study.

机构信息

Department of Hepatobiliary Surgery, The Second Affiliated Hospital of Chongqing Medical University, Chongqing, China.

Department of Gastroenterology, The Second Affiliated Hospital of Chongqing Medical University, Chongqing, China.

出版信息

Front Cell Infect Microbiol. 2023 Dec 1;13:1294826. doi: 10.3389/fcimb.2023.1294826. eCollection 2023.

Abstract

BACKGROUND

Recent studies have suggested a relationship between gut microbiota and non-alcoholic fatty liver disease (NAFLD)/nonalcoholic steatohepatitis (NASH). However, the nature and direction of this potential causal relationship are still unclear. This study used two-sample Mendelian randomization (MR) to clarify the potential causal links.

METHODS

Summary-level Genome-Wide Association Studies (GWAS) statistical data for gut microbiota and NAFLD/NASH were obtained from MiBioGen and FinnGen respectively. The MR analyses were performed mainly using the inverse-variance weighted (IVW) method, with sensitivity analyses conducted to verify the robustness. Additionally, reverse MR analyses were performed to examine any potential reverse causal associations.

RESULTS

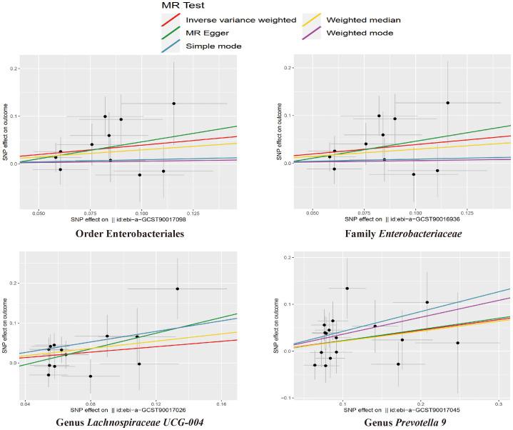
Our analysis, primarily based on the IVW method, strongly supports the existence of causal relationships between four microbial taxa and NAFLD, and four taxa with NASH. Specifically, associations were observed between Enterobacteriales ( =0.04), ( =0.04), ( =0.02), and ( =0.04) and increased risk of NAFLD. ( =0.03) and ( =0.04) could increase the risks of NASH while ( =0.04) and (=0.005) could decrease them. We also identified that NAFLD was found to potentially cause an increased abundance in ( =0.007) and ( =0.002). However, we found no evidence of reverse causation in the microbial taxa associations with NASH.

CONCLUSION

This study identified several specific gut microbiota that are causally related to NAFLD and NASH. Observations herein may provide promising theoretical groundwork for potential prevention and treatment strategies for NAFLD and its progression to NASH in future.

摘要

背景

最近的研究表明肠道微生物群与非酒精性脂肪性肝病(NAFLD)/非酒精性脂肪性肝炎(NASH)之间存在关系。然而,这种潜在的因果关系的性质和方向尚不清楚。本研究使用两样本孟德尔随机化(MR)来阐明潜在的因果关系。

方法

从 MiBioGen 和 FinnGen 分别获得了肠道微生物群和 NAFLD/NASH 的汇总水平全基因组关联研究(GWAS)统计数据。MR 分析主要使用逆方差加权(IVW)法进行,同时进行敏感性分析以验证稳健性。此外,还进行了反向 MR 分析以检查任何潜在的反向因果关联。

结果

我们的分析主要基于 IVW 方法,强烈支持四种微生物类群与 NAFLD 之间以及四种与 NASH 之间存在因果关系。具体而言,观察到肠杆菌目( =0.04)、 ( =0.04)、 ( =0.02)和 ( =0.04)与 NAFLD 风险增加相关。 ( =0.03)和 ( =0.04)可以增加 NASH 的风险,而 ( =0.04)和 ( =0.005)可以降低它们的风险。我们还发现 NAFLD 可能导致 ( =0.007)和 ( =0.002)的丰度增加。然而,我们没有发现微生物类群与 NASH 之间存在反向因果关系的证据。

结论

本研究确定了几种与 NAFLD 和 NASH 因果相关的特定肠道微生物群。这些发现可能为未来 NAFLD 及其进展为 NASH 的潜在预防和治疗策略提供有前景的理论基础。

https://cdn.ncbi.nlm.nih.gov/pmc/blobs/34d0/10722258/e92c0c727f0f/fcimb-13-1294826-g001.jpg

文献AI研究员

20分钟写一篇综述,助力文献阅读效率提升50倍。

立即体验

用中文搜PubMed

大模型驱动的PubMed中文搜索引擎

马上搜索

文档翻译

学术文献翻译模型,支持多种主流文档格式。

立即体验