Suppr超能文献

暴露于微塑料:积累、净化以及一系列分子生物标志物表达水平的评估

Exposure of to Microplastics: Accumulation, Depuration and Evaluation of the Expression Levels of a Selection of Molecular Biomarkers.

作者信息

Pizzurro Federica, Nerone Eliana, Ancora Massimo, Di Domenico Marco, Mincarelli Luana Fiorella, Cammà Cesare, Salini Romolo, Di Renzo Ludovica, Di Giacinto Federica, Corbau Corinne, Bokan Itana, Ferri Nicola, Recchi Sara

机构信息

Istituto Zooprofilattico Sperimentale dell'Abruzzo e Molise (IZSAM), 64100 Teramo, Italy.

Dipartimento di Scienze dell'Ambiente e della Prevenzione, Università di Ferrara, 44122 Ferrara, Italy.

出版信息

Animals (Basel). 2023 Dec 19;14(1):4. doi: 10.3390/ani14010004.

Abstract

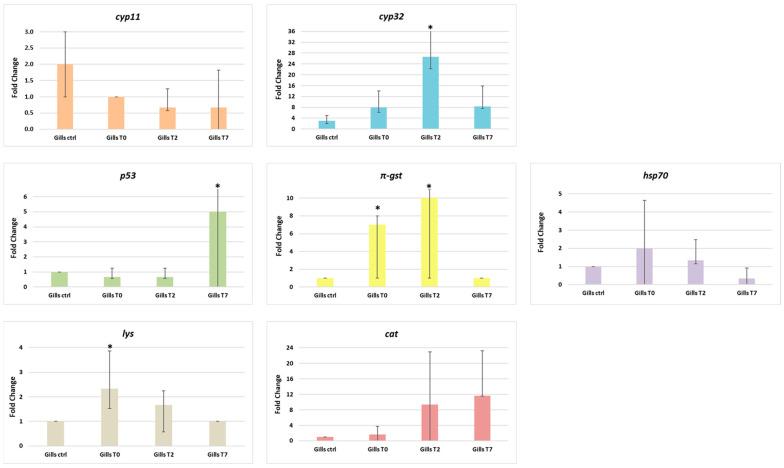
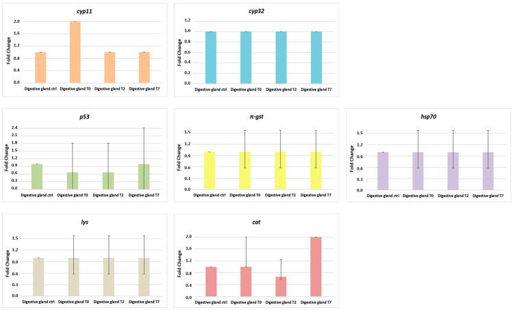
Microplastic contamination is a growing marine environmental issue with possible consequences for seafood safety. Filter feeders are the target species for microplastic (MPs) pollution because they filter large quantities of seawater to feed. In the present study, an experimental contamination of was conducted using a mixture of the main types of MPs usually present in the seawater column (53% filaments, 30% fragments, 3% granules) in order to test the purification process as a potential method for removing these contaminants from bivalves intended for human consumption. A set of molecular biomarkers was also evaluated in order to detect any variations in the expression levels of some genes associated with biotransformation and detoxification, DNA repair, cellular response, and the immune system. Our results demonstrate that: (a) the purification process can significantly reduce MP contamination in ; (b) a differential expression level has been observed between mussels tested and in particular most of the differences were found in the gills, thus defining it as the target organ for the use of these biomarkers. Therefore, this study further suggests the potential use of molecular biomarkers as an innovative method, encouraging their use in next-generation marine monitoring programs.

摘要

微塑料污染是一个日益严重的海洋环境问题,可能对海产品安全产生影响。滤食性生物是微塑料污染的目标物种,因为它们过滤大量海水来觅食。在本研究中,使用海水中通常存在的主要类型微塑料的混合物(53%丝状、30%碎片、3%颗粒)进行了实验污染,以测试净化过程作为从供人类食用的双壳贝类中去除这些污染物的潜在方法。还评估了一组分子生物标志物,以检测与生物转化和解毒、DNA修复、细胞反应和免疫系统相关的一些基因表达水平的任何变化。我们的结果表明:(a)净化过程可以显著降低[具体双壳贝类名称未给出]中的微塑料污染;(b)在测试的贻贝之间观察到了差异表达水平,特别是在鳃中发现了大多数差异,因此将其定义为使用这些生物标志物的目标器官。因此,本研究进一步表明分子生物标志物作为一种创新方法的潜在用途,鼓励在下一代海洋监测计划中使用它们。

https://cdn.ncbi.nlm.nih.gov/pmc/blobs/5b90/10778302/83a1fb71b579/animals-14-00004-g001.jpg

文献AI研究员

20分钟写一篇综述,助力文献阅读效率提升50倍。

立即体验

用中文搜PubMed

大模型驱动的PubMed中文搜索引擎

马上搜索

文档翻译

学术文献翻译模型,支持多种主流文档格式。

立即体验